e-ISSN: 1988-2793
ARTÍCULOS
Resumen: Introducción. La relación entre la escuela y la familia es un elemento imprescindible de calidad educativa que es necesario fortalecer (European Commission, 2021). El objetivo de este estudio es analizar, desde la perspectiva del profesorado, qué necesidades tienen los centros escolares y las familias para poder forjar una alianza exitosa. Método. Se recurrió a la técnica del grupo de discusión para lograr un acercamiento profundo a la visión subjetiva del profesorado. Participaron 16 docentes de Educación Infantil y Primaria repartidos en tres grupos de discusión. Se analizó su discurso mediante un análisis de contenido empleando el programa Atlas-ti. Resultados. Emergieron dos subdimensiones, una referida a las necesidades de los centros (cinco categorías) y otra a las de las familias (una categoría). Respecto a los centros, en primer lugar, el profesorado alude a la necesidad de una normativa para regular la relación centro escolar-familia, si bien la circunscribe a las obligaciones de las familias, incluso con consecuencias punitivas. No obstante, también empatiza con las dificultades de conciliación de las familias, abogando por una flexibilización de sus horarios laborales docentes para facilitar la participación familiar. Otras necesidades se refieren a la apertura de los centros hacia las familias y la comunidad, creando incluso redes de aprendizaje, contando con el soporte y la coordinación con otras instituciones. Por último, se demandan apoyos específicos para trabajar adecuadamente con las familias multiculturales. Respecto a las necesidades de las familias, las y los docentes consideran que precisan de formación, en especial, para paliar las deficiencias percibidas y, en menor medida, para favorecer su participación. Conclusiones. El profesorado es el agente clave en la relación escuela-familia, por lo que sus necesidades percibidas deben ser consideradas para lograr una alianza entre los centros y las familias y hacer posible la participación democrática de la comunidad escolar.
Palabras clave: competencia investigadora; evaluación; investigación educativa; personal docente; educación primaria
Abstract: Introduction. The relationship between school and family is an essential element of educational quality that needs to be strengthened (European Commission, 2021). The aim of this study is to analyse, from the teachers’ perspective, the needs of schools and families in order to build a successful partnership. Method. The focus group technique was used to gain a depth approach into the subjective view of the teachers. Sixteen pre-school and primary school teachers took part in three focus groups. Their discourse was analysed trough Atlas-ti software. Results. Two sub-dimensions emerged, one referring to the needs of the schools (five categories) and the other to those of the families (one category). Regarding schools, firstly, the need to regulate the school-family relationship is mentioned, although it is limited to the obligations of families, even with punitive consequences. However, teachers also empathise with families’ difficulties to conciliate work and family life, advocating more flexible working hours for teachers to facilitate family participation. Other need refers to the opening of schools to families and the community, even creating learning networks, with the support and coordination of other institutions. Finally, there is a reference to specific support to work adequately with multicultural families. Regarding the needs of families, teachers consider that they require training, especially to alleviate their deficiencies and, to a lesser extent, to favour their participation. Conclusions. Teachers are the key agents in the school-family relationship. Therefore, their perceived needs must be met to allow creating a partnership between schools and families and to enable the democratic participation of the school community.
Keywords: research competence; evaluation; educational research; in-service teachers; primary education
Sumario: 1. Introducción. 2. Marco teórico del modelo CIMEP desde sus dimensiones y categorías. 3. Metodología y diseño de la investigación. 3.1. Participantes. 3.2. Instrumento. 3.3. Procedimiento. 3.4. Análisis estadístico. 4. Resultados. 5. Discusión y conclusiones. 6. Referencias Bibliográficas.
Cómo citar: Hernández-Escorcia, R. D., Reynés, M. y Quesada-Pallarés, C. (2025). Validación del modelo CIMEP para el desarrollo de la competencia investigadora en maestros de educación primaria. Revista Complutense de Educación, 36, 053-068. https://doi.org/10.5209/rced.90430
La formación inicial y permanente del profesorado desde el desarrollo de las competencias y específicamente, desde la competencia investigadora, es uno de los elementos que aportan innovación a la práctica pedagógica porque permite que los maestros y las maestras tengan una visión crítica y reflexiva de su ejercicio docente en el aula (Ayuste et al., 2022). Contar con docentes dotados de esta competencia impacta positivamente en el proceso de enseñanza y aprendizaje de alumnado, docentes y familias debido a que el acto educativo no solo se reduce a la transmisión del conocimiento, sino que garantiza elementos de transformación social desde las personas implicadas en procesos investigativos (Boza Carreño & Méndez Garrido, 2013).
En el informe de la OCDE del 2018, mediante el Estudio Internacional de Enseñanza y Aprendizaje (TALIS, Teaching and Learning International Survey en inglés), se evidencia la importancia que tiene en la actualidad la formación permanente del profesorado. Este estudio se desarrolló en 48 países, 9,600 centros educativos y 192,000 directivos y docentes de aula, mostrando que el 80% de los docentes pide al alumnado explicar problemas de la vida cotidiana desde el contexto, el 60% asigna tareas que requieren de pensamiento crítico, el 50% asigna tareas para que encuentren solución, y el 25% provee de proyectos al alumnado que requieren al menos una semana para completarlos.
Es evidente que, para acompañar este tipo de prácticas desde el aula, los docentes necesitan contar con un buen desarrollo de la competencia investigadora (Cano & Ordoñez, 2021). pues así se puede mejorar el desempeño en todas las áreas del conocimiento, sobre todo cuando esta competencia se desarrolla de manera transversal en el currículo de todas las asignaturas, y fortalecer la práctica pedagógica (Oquendo, 2019). Hoy encontramos que el colectivo docente dispone de pocas acciones formativas dirigidas al desarrollo competencial en investigación, realidad que es muy visible en los docentes de educación primaria de América Latina (Perines, 2021). El problema radica en que los programas de formación docente, tanto inicial como permanente, están basados fundamentalmente en la escasez de elementos de investigación en su organización curricular y en la débil importancia que se le otorga al tema (Perines, 2018). Además, no se han encontrado herramientas válidas que permitan a los docentes de primaria evaluar su desarrollo competencial en investigación desde la práctica pedagógica, ya que las investigaciones sobre esta competencia se centran, en su mayoría, en docentes universitarios (Perines, 2021; Thom et al., 2021; Rachel et al., 2021; Buendía-Arias et al., 2018; Malcolm et al., 2018; Murillo et al., 2016; Estrada, 2014; Banet-Hernández, 2010). Por ello, es importante iniciar el estudio sobre herramientas con esta finalidad. Los objetivos de esta investigación fueron: 1) identificar las dimensiones y categorías que integran el modelo CIMEP para crear y validar una herramienta que evalúe el desarrollo de la competencia investigadora en maestros en ejercicio; y 2) evaluar la adecuación del modelo CIMEP en tres países de América Latina, para el desarrollo de la competencia de interés.
Los docentes, y en particular los que enseñan en educación primaria, deben priorizar en su práctica pedagógica el desarrollo de la competencia investigadora, ya que ésta les permitirá tener una visión crítica y reflexiva de su quehacer pedagógico, percibiendo la escuela como centro de cualificación en investigación educativa que les permite formular teorías y responder a necesidades apremiantes (Uzeirli & KiliÇoglu, 2021). Es en este contexto en el que se da CIMEP definido por sus siglas como: Competencia Investigadora en Maestros de Educación Primaria. Este modelo busca que los maestros que enseñan en este nivel escolar adquieran una actitud reflexiva y crítica frente a su ejercicio pedagógico, encaminado a la práctica educativa basada en la evidencia desde el desarrollo de la competencia investigadora (Benavides et al., 2021). Entendiendo la competencia investigadora como un conjunto de conocimientos, habilidades y destrezas que se requieren para desarrollar una actividad investigativa, donde se hace necesario un proceso formativo para tal fin (Arrieta & Ocón, 2018, citado en Olazábal & Águila, 2020).
Ahora bien, el modelo se compone de varios constructos teóricos, agrupados en siete dimensiones y veinte categorías propias de la competencia investigadora para los docentes de educación primaria, desde una aproximación instrumental de la misma:
Planteamiento del problema: esta dimensión expone el asunto que se tiene como objetivo a aclarar (Soriano, 2004; Sein -Echaluce et al., 2014); sus categorías son: 1.1. Formular el problema de investigación: planteamiento formal de la idea a investigar (Soriano, 2004; Martínez & Raposo, 2011; González-Fernández et al., 2019; Lagunes et al., 2019; Ruíz, 2019); 1.2. Formular los objetivos de la investigación: son la guía del estudio, señalan a lo que se aspira con la investigación (Lagunes et al., 2019; Montejo, 2016; Buendía-Arias et al., 2018; Olazábal & Águila, 2020); y 1.3. Formular hipótesis: enunciado (positivo o negativo) que relaciona dos o más variables, planteando una idea que se pondrá a prueba (Legaz Pérez et al., 2017; Bander as et al., 2018; S epúlveda et al., 2019).
Fundamentación Teórica: elementos teóricos que sirven de marco de referencia en la investigación (Martínez & Raposo, 2011). Esta dimensión tiene las categorías de: 2.1. Buscar información: consultar y obtener bibliografía (Martínez & Raposo, 2011; Madrigal & Urrego, 2013); 2.2. Seleccionar la información de manera crítica: utilizar bibliografía útil para el marco teórico especifico (Madrigal & Urrego, 2013; Davidson & Palermo, 2015; Barbosa-Chacón et al., 2015); 2.3. Elaborar textos específicos: escribir textos científicos, teniendo en cuenta el formato propuesto (Lagunes et al., 2019; Banderas et al., 2018; Cuevas et al., 2016); y 2.4. Citar textos: afirmaciones incluidas en un texto con referencia precisa de su origen (Sepúlveda et al., 2019; Aldana- Zavala et al., 2020).
Diseñar la investigación: estrategias con las que se da respuesta a los objetivos planteados (Soriano, 2004; Montejo, 2016) e integran esta dimensión las categorías: 3.1. Metodología: procedimientos que sirven de instrumentos para lograr los objetivos (Martínez & Raposo, 2011; Davidson & Palermo, 2015; Olazábal & Águila, 2020); 3.2. Recolectar datos: uso de métodos y herramientas válidas y fiables escogidas por el investigador/a (González-Fernández et al., 2019; Buendía-Arias et al., 2018; Sepúlveda et al., 2019); y 3.3. Analizar datos: explicar los procesos elegidos y utilizados para el análisis de datos (Legaz Pérez et al., 2017; Cue vas et al., 2016; S alazar et al., 2019).
Ejecutar la investigación: compartir teorías, metodologías, recursos y decisiones, aprendizajes en y para la investigación (Lagunes et al., 2019). A partir de: 4.1. Resultados: hallazgos obtenidos en la investigación (Buendía-Arias et al., 2018); 4.2. Análisis y discusión de resultados: organizar los resultados y analizarlos bajo criterios de credibilidad, transparencia, dependencia, y confirmación probando las hipótesis (Buendía-Arias et al., 2018; Sepúlveda et al., 2019); y 4.3. Conclusiones: argumentos y afirmaciones producto de toda la implementación y desarrollo de la investigación realizada (Lagunes et al., 2019; Sepúlveda et al., 2019).
Difusión y transferencia de la investigación: dar a conocer los hallazgos de la investigación (Soriano, 2004); ésta incluye las categorías de: 5.1. Difusión de los resultados de la investigación: presentación y comunicación de los resultados obtenidos a través de diversos medios (Montejo, 2016; Banderas et al., 2018); y 5.2. Transferencia e impacto de la investigación: transmitir los hallazgos obtenidos en la investigación a compañeros y compañeras, haciendo énfasis en la aplicación práctica (Salazar et al., 2019; Olaz ábal & Águila, 2020; Lamanausk as et al., 2020).
Tecnología en pro de la investigación: recursos digitales y/o tecnológicos que favorecen la comunicación en y de la investigación (Soriano, 2004; Miralles et al., 2013). Las categorías que integran esta dimensión son: 6.1. Herramientas para buscar información: motores de búsqueda de alta calidad académica (Pulido, 2012; Montejo, 2016; Buendía-Arias et al., 2018); y 6.2. Herramientas digitales en pro de la Investigación: medios ofimáticos que permiten socializar y dar a conocer la investigación (Salazar et al., 2019; Aldana- Zavala et al.,2020; Olaz ábal & Águila, 2020).
Transversalidad de la investigación: asegura la fiabilidad y validez de la investigación desarrollada (Sepúlveda et al., 2019; Lamanauskas et al., 2020). Las categorías que integran esta dimensión son: 7.1. Rigurosidad Científica: control de la información científica, desde la validación a través de los pasos del método científico (Salazar et al., 2019); 7.2. Principios éticos: aquellos que permiten que la investigación genere impacto positivo desde el respeto, autonomía y beneficio a las personas (Montejo, 2016; Buendía- Arias et al., 2018); y 7.3. Investigar en clave de inclusión: lenguaje inclusivo respetando la individualidad de cada persona (Salazar et al., 2019; Lamanausk as et al., 2020; Olaz ábal & Águila, 2020).
Es así como, a partir del constructo teórico del modelo, se pudo diseñar un instrumento que permitiera evaluar el nivel de desarrollo en relación con la competencia investigadora en docentes de primaria. El instrumento diseñado fue una rúbrica de autoevaluación docente. Siendo un instrumento idóneo y eficaz para ello, ya que valora el desempeño en la resolución de problemas reales del entorno, relacionando una serie de indicadores como descriptores de niveles de dominio (Cuevas et al., 2016). Para explorar la estructura propuesta del modelo CIMEP se realizó una validación estadística, debido a que el presente estudio plantea la hipótesis que el modelo presentado está integrado por las siete dimensiones y sus veinte categorías anteriormente expuestas si bien no hay suficiente evidencia empírica para garantizar la total robustez del modelo teórico.
La metodología implementada en la investigación fue mixta, a través de la cual se realizó el proceso de validación del constructo del modelo CIMEP. En una primera etapa cualitativa se identificaron las dimensiones y categorías de la competencia investigadora para diseñar la rúbrica, validada a través de un panel de 12 expertos en el campo de la educación. Estas personas validaron el contenido de la rúbrica, y se les pidió
evaluar: univocidad, pertinencia e importancia (García – Valcárcel et al., 2020). La segunda etapa comprendió la recogida y análisis estadístico de los datos (Gil et al., 2005)
Los participantes fueron docentes de educación primaria vinculados a las obras educativas de La Salle en Colombia, Ecuador y México. En el caso de Colombia se contó con 294 maestros de educación primaria de los centros educativos que pertenecen al Distrito Lasallista Norandino (DLN); 266 respondieron la rúbrica (90.5%). Por su parte Ecuador cuenta con 490 maestros de educación primaria en la red de centros educativos pertenecientes al DLN; de estos docentes, 243 respondieron el instrumento (49.6%). México cuenta con 300 docentes que enseñan en educación primaria en la red de centros de La Salle; 157 aplicaron al instrumento enviado (52.3%).
La muestra del estudio fue no probabilística por conveniencia con un total de 665 docentes de los países antes mencionados. El 78.3% de participantes fueron mujeres; la media de edad fue de 39.10 años, con una desviación de 9.7, siendo la edad mínima de 21 años y la máxima de 64. En la tabla 1 se describe el perfil de participantes por países.
| País | N.º Docentes participantes | % Distribución por sexo |
Rango de edad | Edad (M, SD) | % Según nivel de formación adquirido |
|---|---|---|---|---|---|
| Colombia | 265 | H: 26.3% M: 73.7% |
21-64 21-61 | 41.09 9.91 | 68% Licenciados 16.9% Especialistas 7.9% Magísteres 7.1% Normalistas |
| Ecuador | 243 | H: 22.22% M: 77.77% |
26-56 26-60 |
41.10 8.73 | 67.5% Licenciados 4.5% Especialistas 19.8% Magísteres 7.8% Normalistas |
| México | 157 | H: 15.3% M: 24.2% |
21-48 23-61 | 39 10.38 | 75.8% Licenciados 24.2% Magísteres |
| Total | 665 | H: 41.5% M: 58.5% |
H: 25.8 M: 28.6 |
40.3 9.6 |
Licenciados: 70.4% Especialistas: 7.1% Magísteres: 17.3% Normalistas: 4.9% |
* Nota: H: hombres; M: mujeres; M: media; SD: desviación estándar. Fuente: elaboración propia.
Se diseñó una rúbrica de autoevaluación docente a partir de las siete dimensiones y veinte categorías que integran el modelo CIMEP, la cual fue validada por un panel de 12 expertos, los criterios para la selección de los expertos fueron: formación en diferentes campos del saber y la pedagogía, experiencia docente en educación básica o universitaria, experiencia en investigación y evaluación de instrumentos para recogidas de datos (Juárez-Hernández & Tobón, 2018). Ellos, se encargaron de valorar los elementos que integraban la rúbrica, así como los indicadores de evaluación descritos en el instrumento en cuanto a univocidad, pertinencia e importancia (García – Valcárcel et al., 2020). Finalmente, se obtuvo la rúbrica con su terminología CIMEP (Competencia Investigadora de Maestros de Educación Primaria).
Además, se realizó validez externa (Torrelles, 2011) a través de la aplicación del instrumento a un grupo de 105 docentes de educación primaria de Cataluña, con el fin de comprobar y adecuar el instrumento a las dimensiones y categorías propias de la competencia investigadora y al perfil de los docentes de educación primaria. Esto permitió hacer ajustes, sobre todo, en cuanto al proceso de presentación de la rúbrica y el lenguaje utilizado en algunos de los indicadores. La muestra participante de este proceso fue no probabilística por conveniencia.
El instrumento final contó con 4 indicadores por categorías que permitían evaluarlas respectivamente; cada una de éstas integraban las dimensiones del modelo (1= poco competente, 4= muy competente), que midieron las veinte categorías presentadas en el modelo anteriormente. La estructura de la rúbrica se puede observar en la figura 1. El número 1 corresponde al nombre del instrumento, los números 2 y 3 corresponden a las dimensiones y categorías que integran la competencia investigadora, el número 4 son las evidencias que ejemplifican situaciones de aula en las que se dinamizan las categorías de la competencia y finalmente, el número 5 muestra los indicadores. La rúbrica completa se puede observar en el anexo 1.
* Fuente: elaboración propia.
La rúbrica se aplicó a los docentes de educación primaria que integran la red de centros educativos de La Salle Colombia, Ecuador y México en línea, en los meses de febrero a julio de 2021. La aplicación a dicho instrumento tomó alrededor de 30 minutos una vez el docente daba el consentimiento de participar en el estudio y después de presentarle el objetivo de la investigación. Todos los datos se recogieron en un plazo de dos meses para cada país, con varios recordatorios para fomentar la participación voluntaria y anónima del profesorado.
Los datos fueron exportados a un documento Excel y posteriormente codificados para su análisis. Únicamente se mantuvieron los casos completos, por lo que el resto (n=8) fue eliminado. Posteriormente se exportó la matriz al programa estadístico Jamovi v.2.3.13 para su análisis.
Los análisis estadísticos realizados consistieron en la comprobación de los supuestos de normalidad para su posterior análisis descriptivo. Los resultados indicaron que no había problemas de simetría que necesitaran correcciones, así como los problemas de estimación probaron ser no significativos.
Con la finalidad de realizar un Análisis Factorial Exploratorio-Confirmatorio siguiendo a Quesada-Pallarès et al. (2022), debido a que el modelo CIMEP es un modelo teórico poco robusto por la falta de evidencia empírica al respecto, dividimos el conjunto de la muestra en dos submuestras al azar: el primer subgrupo (n1) se compuso de 309 docentes, mientras que el segundo subgrupo (n2) se compuso de 356 docentes. Con n1 aplicamos un Análisis Factorial Exploratorio (AFE) utilizando el método de extracción de máxima verosimilitud y una rotación promax, dado que asumimos distribución normal multivariada y correlación entre factores (Lloret-Segura et al., 2014) para explorar la estructura factorial del instrumento. Primero calculamos la medida de idoneidad del muestreo (KMO) así como la prueba de esfericidad de Bartlett para determinar la aplicabilidad del AFE. Sólo se consideraron cargas factoriales mayores a .40 para seleccionar los ítems correspondientes a cada factor. En segundo lugar, analizamos la validez estructural emergida con el AFE mediante un Análisis Factorial Confirmatorio (AFC) utilizando la submuestra n2, siguiendo las directrices de Lloret-Segura et al. (2014). Los índices de ajuste del modelo que tuvimos en cuenta fueron la prueba de chi-cuadrado (χ2), los índices de ajuste CFI y NFI (>.95), además del error con RMSEA (<.60), siguiendo las recomendaciones de McDonald y Ho (2002), Steiger (2007), Kenny et al., (2015), y Kline (2015) en sus puntos de corte e interpretación.
Tras obtener un modelo con validez factorial satisfactoria, y con la intención de poner a prueba la invariancia del modelo a través de los tres países implicados, realizamos un AFC en los tres países (Colombia, Ecuador y México), siguiendo las recomendaciones de Sass y Schmitt (2013). Asumiendo que obtuviésemos validez factorial de los tres modelos de países, evaluamos la invariancia configural (como modelo de línea base o modelo por defecto) y la invariancia de medición (invariancia tanto métrica como escalar) del modelo factorial a través de una forward perspective (añadiendo secuencialmente más constricciones al modelo) con la lógica de modelos anidados (nested models). Para evaluar el ajuste del modelo, primero consideramos la necesidad de obtener χ2 no significativa para los modelos anidados (en la invariancia de medición), y luego aplicamos los criterios de Chen (2007): rechazar ΔCFI < -0.01 y ΔRMSEA < 0.01.
La medida de idoneidad del muestro (KMO = .950) así como la prueba de esfericidad de Bartlett (3405; p<.001) sugirieron que el AFE (n1=309) era apropiado. Emergió un modelo de cuatro factores con una varianza explicada del 55.4%. Sin embargo, únicamente se incluyeron ítems con carga factorial mayor a .40, por lo que el ítem ‘6.1. Herramientas para buscar información’ fue excluido.
La estructural factorial emergida en el AFE de cuatro factores y 18 ítems fue analizada mediante el AFC (n2=356). Los índices de ajuste del modelo fueron los siguientes: χ2 = 352 (146), p<.001; CFI = .942; TLI = .932; y RMSEA = .063 (IC 90% = .055 - .071). El valor de chi-cuadrado fue significativo, lo que nos indicó que podíamos rechazar la hipótesis nula (el modelo teórico se ajusta a los datos empíricos); sin embargo, la prueba de chi-cuadrado es muy sensible al tamaño muestral, por lo que se recomienda utilizar otros índices de ajuste. El resto de los índices eran correctos si bien RMSEA mostraba un valor por encima del recomendado, aunque dentro de lo aceptable (<.80) siguiendo a Kula & Guler (2014). Analizando más detalladamente el modelo, y con la ayuda del análisis de fiabilidad de cada factor mediante el valor de alfa de Cronbach, observamos que el ítem ‘2.1. Buscar información’ presentaba una correlación muy baja con su factor (F3) con un valor de R2 de .197 (menor al .20 aconsejado por Cohen, 2008).
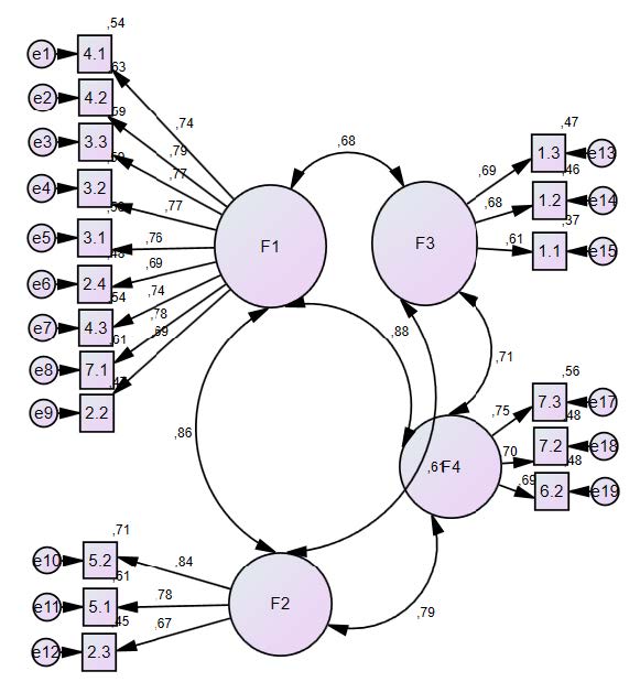
Teniendo en cuenta esta información junto con su adecuación desde la perspectiva teórica, decidimos eliminar el ítem 2.1 y hacer un nuevo AFC con los cuatro factores y 18 ítems. Los índices de ajuste del modelo fueron: χ2 = 296.603 (129), p<.001; CFI = .951; TLI = .942; y RMSEA = .060 (IC 90% = .051 - .070). El mejor ajuste de todos los índices apoyó la decisión de mantener este último modelo (ver Figura 2). En la Tabla 2 se muestran los valores de alfa de Cronbach de cada factor, así como su composición y definición.
* Nota: F1=Diseño y Ejecución de la Investigación; F2=Difusión y Transferencia de la Investigación; F3=Planteamiento del problema; F4=Transversalidad de la Investigación; e=error.
* Fuente: elaboración propia.
| Factores | Definición de los factores | Categorías que componen las dimensiones | Alfa Estandarizado |
|---|---|---|---|
| 1. Diseño y Ejecución de la Investigación | Hace referencia a estrategias con las que se da respuesta a los objetivos planteados (Soriano, 2004; Montejo, 2016). Además, de compartir teorías, metodologías, recursos y decisiones, aprendizajes en y para la investigación (Lagunes et al., 2019). | 4.1; 4.2; 3.3.; 3.2; 3.1; 2.4; 4.3; 7.1; 2.2. |
.919 |
| 2. Difusión y Transferencia de la Investigación | Es la acción de dar a conocer los hallazgos de la investigación (Soriano, 2004). | 5.2; 5.1; 3.3. | .809 |
| 3. Planteamiento del problema | Expone el asunto que se tiene como objetivo a aclarar (Soriano, 2004; Sein-Echaluce et al., 2014). | 1.3, 1.2; 1.1. | .693 |
| 4. Transversalidad de la Investigación | Hace referencia a los recursos digitales y/o tecnológicos que favorecen la comunicación de la investigación (Soriano, 2004; Miralles et al., 2013). Garantizando que se cumplan los principios éticos de la investigación, integrando un lenguaje inclusivo respetando la individualidad de las personas que participan en los procesos investigativos (Montejo, 2016; Buendía-Arias et al., 2018; Salazar et al., 2019; Lamanauskas et al., 2020; Olazábal & Águila, 2020). | 7.3; 7.2; 6.2. | .752 |
* Fuente: elaboración propia.
La invariancia del modelo a través de los países fue primero evaluada realizando un AFC del modelo en cada uno de los tres países. La Tabla 3 muestra un bajo ajuste del modelo en base a los índices analizados para los modelos M1-M3. De hecho, los valores de Hoelter en el nivel de significación al .05 indican que ninguno de los tres modelos obtuvo el tamaño muestral mínimo de acuerdo con la complejidad del modelo, el cual debería ser mayor de 200 (Garson, 2015).
| Modelo (M) | χ2(gl), p | RMSEA | RMSEA 90% Intervalo de Confianza | CFI | TLI | Hoelter p = .05 |
|---|---|---|---|---|---|---|
| M1. Colombia (n=135) | χ2(129) = 231.463, p = .000 | .077 | .061 - .093 | .934 | .922 | 91 |
| M2. Ecuador (n=132) | χ2(129) = 296.995, p = .000 | .100 | .085 - .115 | .853 | .826 | 70 |
| M3. México (n=89) | χ2(129) = 204.520, p = .000 | .082 | .060 - .102 | .913 | .896 | 68 |
El tamaño de muestral de los tres países no permitió garantizar la validez factorial como primer paso del modelo de invariancia. Sin embargo, con la idea de explorar los resultados para evaluar la invariancia del modelo, decidimos continuar con el análisis como si hubiésemos obtenidos unos índices de ajuste de los modelos adecuados.
La Tabla 4 muestra que el modelo sí asegura la invariancia configural (modelo de línea base sin constricciones), sí que asegura la invariancia métrica (M5), pero no asegura la invariancia escalar (M6). Esto puede comprobarse al observar que los índices de ajuste del M4 son adecuados y que únicamente la chi- cuadrado del modelo anidado M5 es no significativa (p = .247), así como el incremento en CFI y RMSEA del modelo anidado M5 no sobrepasan los criterios establecidos por Chen (2007).
| Modelo (M) | 2(gl), p | CFI | RMSEA | Δχ2a | Δdf | p | ΔCFIa | ΔRMSEAa |
|---|---|---|---|---|---|---|---|---|
| M4. Invariancia configural (modelo línea base) | χ2(387) = 733.066, p = .000 | .903 | .050 | |||||
| M5. Invariancia métrica (modelo anidado) | χ2(28) = 32.693, p = .247 | .901 | .049 | -700.373 | -359 | .247 | -.002 | -.001 |
| M6. Invariancia escalar (modelo anidado) | χ2(36) = 58.517, p = .010 | .895 | .048 | 25.824 | 8 | .237 | -.006 | -.001 |
* Nota: a Indica comparaciones con los modelos anidados previos, M5 con M4 y M6 con M5.
* Fuente: elaboración propia.
En base a los resultados de la invariancia del modelo en los tres países, afirmamos de manera tentativa que: a) los mismos ítems cargan en los mismos factores planteados, por lo que la estructura de factores e ítems se mantiene en los tres países (invariancia configural); b) el significado de los constructos es el mismo, por lo que podemos comparar las relaciones entre los factores y los otros conceptos a través de los países (invariancia de medición de tipo métrica); y c) no hemos encontrado evidencias de que las puntuaciones medias en los ítems sean las mismas en los tres países, por lo que puede haber diferencias en dichas puntuaciones según el país (no-invariancia de medición de tipo escalar). Recordamos, pero, que no obtuvimos un tamaño muestral suficiente (ver Tabla 3) para tomar el resultado de la invariancia como definitivo.
Los estudios en relación con el desarrollo de la competencia investigadora en docentes de educación primaria son escasos. Además, existe una percepción errada y negativa de la investigación educativa en estos docentes porque se piensa que no impacta en la práctica pedagógica (Murillo et al., 2016). Al no contar con un instrumento estandarizado que permita evaluarla (Freixa & Venceslao, 2013), se ha creado el modelo CIMEP y validado una herramienta, la rúbrica de autoevaluación docente, que mide el desarrollo de la competencia investigadora en docentes de primaria.
En el caso de la rúbrica diseñada y validada, se resalta como elemento de interés a nivel estructural que cuenta con un campo de evidencias compuesto por ejemplos que aterrizan el concepto de las dimensiones y categorías del modelo CIMEP a la realidad de los docentes siguiendo la recomendación de Núñez et al. (2018). En nuestro caso, ésto nos permitió evaluar dicho desarrollo competencial desde la práctica pedagógica: los ejemplos tratados en las evidencias responden a realidades diarias que vive el docente en el aula a través de ejemplos propuestos en su mayoría por maestros en ejercicio; siendo un gran aporte para la reflexión pedagógica que se pueda desarrollar en las Universidades (Cavus et al., 2021).
Según los resultados de invariancia del modelo, si bien no teníamos suficiente muestra para tomar los resultados como adecuados, a nivel exploratorio sí se comprueba que los mismos ítems (Categorías) cargan en los mismos cuatro factores (Dimensiones) planteados para los tres países, lo que nos permitió evaluar dicho modelo propuesto para estas tres naciones, manteniéndose la estructura de Factores e Ítems para Colombia, Ecuador y México. Esto puede representar la realidad que viven muchos maestros de América Latina y es que, si bien el tema no es nuevo, aún se carece de elementos formativos para fortalecer el desarrollo de muchas competencias entre ellas la de investigación (Ayuste et al., 2022), lo que se percibe en la autoevaluación de la competencia investigadora.
Sumado a ello, no se ha encontrado evidencia de que las puntuaciones medias en los ítems sean las mismas en los tres países. Este resultado nos lleva a pensar que puede haber diferencias según el país, donde algunas políticas escolares y en especial la formación del profesorado en relación con el desarrollo de competencias es un tema que está todavía por desarrollar y es de urgente necesidad ya que deben ser incluidas en las políticas de gobierno, tanto en el ámbito universitario -formación inicial docente- como en el ámbito escolar -formación permanente docente- (Torrecilla & Martínez, 2019).
Concluimos que hay tres aspectos urgentes que, desde las realidades que viven los países de América Latina y del Caribe, se deben abordar en la formación inicial y permanente del profesorado. En primer lugar, se ha de insistir en el desarrollo de las competencias básicas para el pleno ejercicio de la docencia en los tiempos actuales entre las cuales la competencia de investigación como elemento transversal al currículo para fortalecer la práctica pedagógica y la construcción del aprendizaje desde los primeros años de escolaridad, acorde a lo planteado por Murillo & Perines (2017).
En segundo lugar, los gobiernos deben implementar estrategias o políticas educativas que vayan más allá de la evaluación docente de la asimilación de conocimiento e implementar procesos de evaluación docente que permitan al profesional en educación examinar su práctica desde la realidad que vive en su día a día; por ello vemos en el modelo CIMEP una puerta de entrada para afianzar no solo el desarrollo de la competencia de investigación sino los procesos autoevaluativos de la práctica desde los elementos que ofrece el modelo a los docentes de educación primaria (Lacambra et al., 2022). Es por ello, que ha de acercarse la investigación educativa a la realidad y lenguaje de los maestros que están en las escuelas; esto permitiría ver el desarrollo de la competencia investigadora como una oportunidad para innovar en los procesos de aula (Bautista & Gómez, 2017).
Finalmente, en vista a los resultados y el cumplimiento de los objetivos, la investigación que presentamos debería ampliarse con un estudio de Educación Comparada que permitiera identificar las diferencias y similitudes entre los tres países en aquellos aspectos que son relevantes para la competencia investigadora. A partir de las indicaciones metodológicas de Caballero et al. (2016), proponemos dos objetos de estudio de esta futura investigación. El primer objeto, la formación del profesorado, tanto inicial como permanente. El segundo sería el currículo y la pedagogía en los primeros años de escolaridad, ya que condicionan la práctica cotidiana del docente y, por tanto, las posibilidades de aplicar y desarrollar la competencia investigadora.
Aldana-Zavala, J.J., Vallejo-Valdivieso, P.A., y Isea-Argüelles, J. (2020). Investigación y aprendizaje: Retos en Latinoamérica hacia el 2030 Alteridad. Revista de Educación, 16(1),78-91. https://doi.org/10.17163/alt. v16n1.2021.06
Arrieta, W., y Ocón, A. (2018). La competencia investigativa en la formación docente. Caso programa licenciatura en matemáticas de la Universidad de Sucre. Revista Boletín Redipe, 7(10), 130-38. https:// dialnet.unirioja.es/servlet/articulo?codigo=6729430
Ayuste, A., Escofet, A., Payá, M., y Rubio, L. (2022). Desarrollo de competencias investigadoras en la formación inicial del profesorado: hacia la mejora de la práctica docente universitaria y escolar. RISEI Academic Journal, 2(1), 73–81. http://www.revista.risei.org/index.php/raj/article/view/30
Banderas Martínez, C., Cárdenas Olivares, G., y Martínez Castro, M.E. (2018). Perspectivas docentes sobre la formación de competencias investigativas en relación con los programas de asignatura. Sincronía, 1(74), 589-616. https://www.redalyc.org/journal/5138/513855742030/html/
Banet-Hernández, E. (2010). Finalidades de la educación científica en Educación Secundaria: aportaciones de la investigación educativa y opinión de los profesores. Enseñanza de las Ciencias, 28(2), 199-214. https://redined.educacion.gob.es/xmlui/bitstream/handle/11162/24211/165-4071-1-PB. pdf?sequence=1&isAllowed=y
Barbosa-Chacón, J.W., Barbosa Herrera, J.C., y Rodríguez Villabona, M. (2015). Concepto, enfoque y justificación de la sistematización de experiencias educativas: Una mirada “desde” y “para” el contexto de la formación universitaria. Perfiles educativos, 37(149), 130-149. http://www.scielo.org.mx/scielo. php?script=sci_arttext&pid=S0185-26982015000300008&lng=es&tlng=es
Bautista Macia, M., y Gómez Campo, V. M. (2017). Calidad docente: un desafío para la tradición pedagógica en Colombia. Bogotá: Universidad Nacional de Colombia
Benavides, M. De Agüero, M. Pompa, M. y Sánchez, M. (2021). El curso en Educación Basada en Evidencia (ebe): reflexiones para la transdisciplina, la docencia y la investigación. DiDac, 2(78), 8-19. https://doi. org/10.48102/didac.2021..78_JUL-DIC.73
Boza Carreño, A., y Méndez Garrido, J. M. (2013). Aprendizaje motivado en alumnos universitarios: validación y resultados generales de una escala. Revista de Investigación Educativa, 31(2), 347. https://doi. org/10.6018/rie.31.2.163581
Buendía-Arias, X,P., Zambrano-Castillo, L,C., y Insuasty, E, A. (2018). El desarrollo de competencias investigativas de los docentes en formación en el contexto de la práctica pedagógica. Revista Folios, (47), 179-195. http://www.scielo.org.co/scielo.php?script=sci_arttext&pid=S0123-48702018000100179&lng =en&tlng=es
Caballero, A., Manso, J., Matarranz, M., y Valle, J. (2016). Investigación en Educación comparada: pistas para investigadores noveles. Revista Latinoamericana de Educación Comparada, 7(9), 39-56. https:// dialnet.unirioja.es/servlet/articulo?codigo=6559980
Cano, M. C., y Ordoñez, E. J. (2021). Formación del profesorado en Latinoamérica. Revista de Ciencias Sociales (Ve), XXVII (2), 284-295. https://dialnet.unirioja.es/servlet/articulo?codigo=7927665
Cavus, N., Mohammed, Y. B., y Yakubu, M. N. (2021). Determinants of learning management systems during COVID-19 pandemic for sustainable education. Sustainability, 13(9), 5189. https://doi.org/10.3390/ su13095189
Chen, F. F. (2007). Sensitivity of goodness of fit indexes to lack of measurement invariance. Structural Equation. Modeling, 14, 464–504. http://doi.org/10.1080/10705510701301834
Cohen, B. (2008). Explaining psychological statistics (3rd ed.). John Wiley & Sons.
Cuevas Romo, A., Hernández Sampieri, R., Leal Pérez, B. E., y Mendoza Torres, C. P. (2016). Enseñanza- aprendizaje de ciencia e investigación en educación básica en México. Revista electrónica de investigación educativa, 18(3), 187-200. http://dx.doi.org/10.6018/analesps.30.3.199361
Davidson, Z. E., y Palermo, C. (2015). Developing research competence in undergraduate students through hands on learning. Journal of Biomedical Education, 30(1), 1-10. https://doi.org/10.1155/2015/306380
Estrada, O. (2014). Sistematización teórica sobre la competencia investigativa. Revista Educare, 18(2), 177-194. http://www.scielo.sa.cr/scielo.php?script=sci_arttext&pid=S140942582014000200009&lng=en&tlng=es.
Freixa, M., y Venceslao, M. (2013). Docencia universitaria: la experiencia extraordinaria del vínculo educativo. Revista de Educación Inclusiva, 6(1), 129-141. https://diposit.ub.edu/dspace/bitstream/2445/216482/1/166713. pdf
García-Valcárcel Muñoz-Repiso, A. M., Hernández Martín, A., Martín del Pozo, M., y Olmos Migueláñez, S. (2020). Validación de una rúbrica para la evaluación de trabajos fin de máster. Profesorado: revista de curriculum y formación del profesorado, 24(2), 72-96. http://doi:10.30827/profesorado.v24i2.15151
Garson, G. D. (2015). Structural Equation Modeling. Statistical Associates Publisher.
Gil Pérez, D., Macedo, B., Martínez-Torregrosa, J., Sifredo Barrios, C., Valdés, P., y Vilches Peña, A. (2005). ¿Cómo promover el interés por la cultura científica? Una propuesta didáctica fundamentada para la educación científica de jóvenes de 15 a 18 años. Oficina Regional de Educación de la UNESCO para América Latina y el Caribe. http://hdl.handle.net/10045/2784
González-Fernández, R., Zabalza-Cerdeiriña, M. A., Medina-Domínguez, M., y Medina-Rivilla, A. (2019). Initial Training Model for Childhood Education Teachers: Competencies and Beliefs for their Training. Formación universitaria, 12(2), 83-96. https://dx.doi.org/10.4067/S0718-50062019000200083
Juárez -Hernández, L. G., y Tobón, S. (2018). Análisis de los elementos implícitos en la validación de contenido de un instrumento de investigación. Revista espacios, 39(53), 1-23. https://www.revistaespacios.com/ cited2017/cited2017-23.html
Kenny, D. A., Kaniskan, B., y Mccoach, D. B. (2015). The Performance of RMSEA in Models with Small Degrees of Freedom. Sociological Methods & Research, 44(3), 486–507. https://doi.org/10.1177/0049124114543236 Kline, R. B. (2015). Principles and practice of structural equation modeling. Guilford.
Kula, S., y Guler, A. (2014). Influence of Supervisor Support on Job Satisfaction Levels: An Evaluation of Turkish National Police (TNP) Officers in the Istanbul Police Department. International Journal of Criminal Justice Sciences, 9(2), 209-224. https://n9.cl/u488e
Lacambra, A. M. M., Fraile, M. N., y Vélez, A. P. (2022). La competencia investigativa del profesorado en formación: percepciones y desempeño. REDIE: Revista Electrónica de Investigación Educativa, 24, 1-14. https://doi.org/10.24320/ridie.2022.24e28.4182
Lagunes, A., Flores, M., Torres, C., y Ortiz, A. (2019). Red RIMCI para mejorar la competencia investigadora en estudiantes y maestros universitarios en Iberoamérica. Revista Relep, 2(1), 17-23. https://doi. org/10.46990/relep.2019.2.1.199
Lamanauskas, V., Augienė, D., y Makarskaitė-Petkevičienė, R. (2020). Primary school teachers’ educational research: educational practice and professional development context. International Journal of Cognitive Research in Science, Engineering and Education (IJCRSEE), 8(3), 1-18. http://doi.org/10.23947/2334- 8496-2020-8-3-1-18
Legaz Pérez, I., Gutiérrez González, L., y Luna Maldonado, A. (2017). Brainstorming como recurso docente para desarrollar competencia investigadora. Revista Iberoamericana De Educación, 74(1), 133–148. https://doi.org/10.35362/rie741631
Lloret-Segura, S., Ferreres-Traver, A., Hernández-Baeza, A., y Tomás-Marco, I. (2014). El análisis factorial exploratorio de los ítems: una guía práctica, revisada y actualizada. Anales de psicología/annals of psychology, 30(3), 1151-1169. https://doi.org/10.6018/analesps.30.3.199361
Madrigal Gil, A.D.J., y Urrego Tobón, A. (2013) La educación física renovada desde la investigación educativa. Revista Lasallista de Investigación, 10(2), 69-76. http://www.scielo.org.co/scielo.php?script=sci_ arttext&pid=S179444492013000200009&lng=en&tlng=es
Malcolm, A., Mitchell, B., Northcote, M.,Williams, A.,Petrie, K., de Waal, K., Carton, J., McLoughlin, C., y Lemke, G. (2018). The construction of a postgraduate student and supervisor support framework: Using stakeholder voices to promote effective postgraduate teaching and learning practice, Journal of University Teaching & Learning Practice, 15(2), 34-46. https://doi.org/10.53761/1.15.2.6
Martínez Figueira, M. E., y Raposo Rivas, M. (2011). Funciones generales de la tutoría en el Practicum: entre la realidad y el deseo en el desempeño de la acción tutorial. Revista de Educación, 35(4), 155-181. https://n9.cl/zg4pf
McDonald, R. P. y Ho, M.- H. R. (2002). Principles and practice in reporting statistical equation analyses. Psychological Methods, 7(1), 64-82. https://doi.org/10.1037/1082-989X.7.1.6
Miralles, P., Gómez, C.J., Arias, L. (2013) Social sciences teaching and information processing. An experience using WebQuests in primary education teacher training. Universities and Knowledge Society Journal (RUSC), 10(2), 344-357. http://dx.doi.org/10.7238/rusc.v10i2.1536
Montejo Lorenzo, M.N. (2016) La preparación y edición de artículos científicos en el proceso de formación del investigador. Pedagogía universitaria, 21(1), 230-245. http://link.gale.com/apps/doc/A466783497/ AONE?u=anon~45372e35&sid=googleScholar&xid=b72db8c0
Moreno, P. (2005). Metodología de la Investigación. https://n9.cl/w7ffk
Murillo, F.J. y Perines, H. (2017). Cómo los docentes no universitarios perciben la investigación educativa. Revista Complutense de Educación, 28(1), 81-99. http://dx.doi.org/10.5209/rev_RCED.2017.v28.n1.48800
Murillo, F.J., Perines H. y Lomba L. (2016). La comunicación de la investigación educativa. Una aproximación a la relación entre la investigación, su difusión y la práctica docente. Profesorado. Revista de Currículum y Formación del Profesorado 21(2) 183 – 200. https://n9.cl/5tguli
Núñez, C., Barzotto, V. H., y Tobón, S. (2018). Prácticas docentes y transformación de las aulas: rutas de investigación educativa en Brasil, Colombia y México (1a edición). Universidad de Medellín.
OCDE (2018). Políticas docentes efectivas: Conclusiones del informe PISA. Publishing. http://doi. org/10.1787/9789264301603-en
Olazábal Vega, G., y Águila, A. (2020). Formación de la competencia investigativa en los estudiantes de la carrera Licenciatura en Educación Lengua Extranjera Inglés. Mendive. Revista de educación, 18(3), 515527. https://n9.cl/acr24
Oquendo, S. P. (2019). Strategy for the development of research competence in basic primary students. Encuentros, 17(2), 95-107. https://orcid.org/0000-0003-2523-9862
Perines, H. (2018). ¿Por qué la investigación educativa no impacta en la práctica docente? Estudios sobre Educación, (34)1, 9–27. https://doi.org/10.15581/004.34.9-27
Perines, H. (2021). Investigación educativa en la formación del profesorado: el caso de la Universidad de La Serena. Ciencia y Educación, 5(1), 25-40. https://doi.org/10.22206/cyed.2021.v5i1.pp25-40
Pulido, J. R. (2012). El aprendizaje de los estudiantes universitarios y el portafolio. In Biennale internationale de l’éducation, de la formation et des pratiques professionnelles. https://n9.cl/2jx47
Quesada -Pallarès, C., Musso, M.F.,Ciraso Calí, A., y Cascallar, E. (2021) The well-fit for the FET model: Understanding training transfer factors in Spain. Educar, 58(1), 103-121 https://doi.org/10.5565/rev/ educar.1327
Rachel, J., Gunilla, E., Aspfors, J., Kristin B., y Stølen, G. (2021). Newly Qualified Teachers’ Understandings of Research-based Teacher EducationPractices-Two Cases from Finland and Norway, Scandinavian. Journal of Educational Research, 65(1), 123-139. https//doi.org/10.1080/00313831.2019.1659402
Ruiz Morales, Y. A. (2019). Evaluación formativa y compartida para el desarrollo de competencias investigativas en estudiantes universitarios. Educere, 23(75), 499-508. https://n9.cl/wu0dh0
Salazar Béjar, J. E., Cáceres Mesa, M. L., y Moreno Tapia, J. (2019). Preliminares para la elaboración del estado de la cuestión sobre habilidades investigativas y su aplicación en los procesos de enseñanza y aprendizaje. Revista Metropolitana de Ciencias Aplicadas, 2(3), 192-197. https://www.redalyc.org/articulo. oa?id=721778102025
Sass, D. A., y Schmitt, T. A. (2013). Testing measurement and structural invariance: Implications for practice. In T. Timothy (Ed.), Handbook of Quantitative Methods for Educational Research (pp.315–345). SensePublishers. http://doi.org/10.1007/978-94-6209-404-8_15
Sein-Echaluce, M. L., Fidalgo Blanco, Á., y García Peñalvo, F. J. (2014). Buenas prácticas de Innovación Educativa: Artículos seleccionados del II Congreso Internacional sobre Aprendizaje, Innovación y Competitividad, CINAIC 2013. Revista de Educación a Distancia (RED), 44, 1-5. https://revistas.um.es/ red/article/view/254011
Sepúlveda Obreque, A., Opazo Salvatierra, M., y Díaz-Levicoy, D. (2019). Promoción de competencias transversales en la formación docente: actividades y evaluación. Revista Cubana de Educación Superior, 38(2), 1-23. https://n9.cl/l8ikn
Soriano Roque, M. M. (2004). El profesor universitario ante los retos del mundo de hoy: sus competencias laborales. Contexto educativo: revista digital de investigación y nuevas tecnologías, (30)3, 165 -189.
Steiger, J. H. (2007). Understanding the limitations of global fit assessment in structural equation modelling. Personality and Individual Differences, 42(5), 893-898. https://doi.org/10.1016/j.paid.2006.09.017
Thomm, E., Gold, B., Betsch, T., y Bauer, J. (2021) When preservice teachers’ prior beliefs contradict evidence from educational research. British journal of educational psychology, 181(6), 1-18. https://doi.org/10.1111/ bjep.12407
Torrecilla, F. J. M., y Martínez-Garrido, C. (2019). Una mirada a la investigación educativa en América Latina a partir de sus artículos. REICE: Revista Iberoamericana sobre Calidad, Eficacia y Cambio en Educación, 17(2), 5-25. https://doi.org/10.15366/reice2019.17.2.001
Torrelles Nadal, C. (2011). Eina d’avaluació de la competència de treball en equip [Herramienta de evaluación de la competencia de trabajo en equipo]. Tesis doctoral para optar el título de doctora en educación. Universidad de Lleida. http://hdl.handle.net/10803/51341
Uzeirli, E., y Kılıçoğlu, G. (2021). Investigation of Primary Teacher Training Process in Turkey and Azerbaijan. Education & Science/Egitim ve Bilim, 46(207), 375-401. http://doi.org/10.15390/EB.2021.9246,