e-ISSN: 1988-2793
ARTÍCULOS
Resumen: INTRODUCCIÓN. El desarrollo de la mentalidad de crecimiento – la creencia de que los atributos y la inteligencia de una persona son maleables - se investiga mayormente para estudiantes, pero, existe poca evidencia de investigaciones respecto de la aplicación de este tipo de mentalidad en los/as docentes. Esta revisión sistemática de literatura presenta un análisis de estudios empíricos cuya unidad de análisis es el profesorado. MÉTODOS. Utilizando las bases de datos Web of Science, Scopus y Scielo, encontramos un total de 90 artículos y seleccionamos 29 investigaciones cuantitativas y cualitativas que cumplen con los criterios de inclusión y exclusión. RESULTADOS. Los resultados obtenidos muestran que existe evidencia positiva mayormente en tres ejes de la profesión docente: bienestar docente, las prácticas pedagógicas y en la posibilidad de cambiar las creencias. Sin embargo, se encuentra escasa evidencia sobre la aplicación de la mentalidad de crecimiento en fenómenos perjudiciales para el profesorado como las bajas tasas de retención docente. DISCUSIÓN. La aplicación de la mentalidad de crecimiento en el estudiantado supera la aplicación que esta misma mentalidad ha tenido en los/as docentes. Sobre todo, en los/as estudiantes, la mentalidad de crecimiento se ha aplicado para mejorar múltiples indicadores educacionales tanto cognitivos (por ejemplo, rendimiento en pruebas estandarizadas) como no-cognitivos (por ejemplo, persistencia en las metas educacionales y personales). Entonces, resulta importante promover la aplicación de esta mentalidad para intentar solucionar graves problemas de baja retención docente, sobre todo cuando se espera que estos promuevan este tipo de creencias en sus estudiantes. Nuestra revisión incluye limitaciones y recomendaciones para futuras investigaciones.
Palabras clave: mentalidad de crecimiento; creencias implícitas de la inteligencia; profesión docente; docentes
Abstract: INTRODUCTION. Growth mindset – the belief that abilities and intelligence are malleable – is mostly studied for students, there is little research regarding of the uses of this kind of beliefs for teachers. This systematic review of literature provides a state of the art of empirical studies whose main unit of analysis are teachers. METHODS. By doing a thorough search in the Web of Science, Scopus, and Scielo databases, we find a total of 90 articles and select 29 both qualitative and quantitative studies who gather our inclusion and exclusion criteria. RESULTS. Our results report that there is mostly positive evidence regarding the uses of growth mindset in three areas of the teaching profession: wellness or wellbeing, pedagogical practices, and the possibilities to change teacher beliefs. However, we find little to no evidence regarding the uses of growth mindset in hazardous phenomena for teachers such as low retention rates. DISCUSSION. The uses of growth mindset in students exceeds the use that this same mindset has in teachers to improve multiple educational indicators, like performance in students’ standardized tests and persistence of students towards the achievement of their academic and personal goals. Thus, it is important to promote the use of this kind of mindset to try to solve serious problems of low teacher retention, especially when teachers are expected to promote this type of beliefs in their students. Our review includes limitations and recommendations for future research.
Keywords: growth mindset; implicit theories of intelligence; teaching profession; teachers’ beliefs
Index: 1. Introducción. 2. Metodología. 3. Resultados. 4. Discusión. 5. Referencias Bibliográficas.
Cómo citar: Taveras, C. M.; Santelices, M.ª V. (2025). Desarrollo y aplicación de la mentalidad de crecimiento en la profesión docente: revisión sistemática de literatura. Revista Complutense de Educación, 36, 93-104. https://doi.org/10.5209/rced.90407
Los y las docentes son figuras cruciales en el proceso de aprendizaje de los estudiantes y en el buen funcionamiento de los sistemas educativos (Darling-Hammond, 2016). Sin embargo, a pesar de la importancia de esta figura para todos los sistemas educativos, se observa que las reformas y políticas implementadas para mejorar las condiciones laborales y el desempeño de tanto los/as docentes y de la carrera docente, no han sido suficientes pues existe desvalorización y desprestigio (Kelchtermans, 2017). La desvalorización de la profesión docente se manifiesta en varios aspectos, tales como la falta de reconocimiento social, salarios bajos, condiciones laborales precarias, y una percepción pública que a menudo no refleja la complejidad y la importancia de la labor docente (Claro et al., 2021).
Las reformas estructurales realizadas apuntan generalmente a mejorar las condiciones del profesorado especialmente en términos salariales. Existen políticas compensatorias salariales condicionadas a indicadores de desempeño (Vaillant & González-Vaillant, 2017). En países como Perú y Argentina, se ofrecen incentivos monetarios por encima del salario promedio, para los/as profesores que impartan clases en escuelas con alta vulnerabilidad, sin embargo, los/as docentes prefieren impartir clases en localidades cercanas al lugar donde tuvieron su práctica docente (Ajzenman et al., 2020). De igual manera, existen políticas que apuntan a hacer más eficiente la formación inicial docente, cuyo objetivo es enseñar al profesorado los recursos necesarios para permanecer en la profesión (Musset, 2010).
Las políticas públicas implementadas cuyo enfoque es mejorar la calidad de los/as docentes no han sido totalmente efectivas. Un reporte del Banco Interamericano de Desarrollo, El problema de la escasez de docentes en Latinoamérica y las políticas para enfrentarlo (BID, 2020), señala que la tasa de postulantes a la carrera de Pedagogía en la región de América Latina presenta una tendencia decreciente. En Chile, por ejemplo, la caída más fuerte en esta tendencia, fue en el período 2020-2021, con una disminución de la matrícula de 19% (Correia et al., 2022). Además, el Teaching and Learning International Survey (TALIS) señala que un 20% de los docentes en Chile—una cifra superior al promedio de los países de la Organización para la Cooperación y el Desarrollo Económicos (OCDE)—experimenta altos niveles de estrés en su rutina laboral, lo que conduce a su eventual renuncia antes de la jubilación (OCDE, 2020). Finalmente, Chile parece estar vinculado con los países donde la tasa de abandono docente (40%) es mayor durante los primeros cinco años de ejercicio profesional (Valenzuela et al., 2022).
Las cifras presentadas sugieren que la profesión docente podría beneficiarse de reformas cuyo foco sea trabajar la figura interna del profesorado. Según Fives y Buehl (2008), las creencias de los/as docentes, entendidas como juicios personales sobre la veracidad de una proposición, pueden mediar en sus habilidades y decisiones. El estudio de creencias indica que existen múltiples factores sobre los cuáles el profesorado se puede formar juicios implícitos. La autoeficacia, que es la percepción del docente sobre su capacidad para ejercer su labor, es una de las creencias que influyen en su práctica pedagógica y en el aprendizaje de los estudiantes. Otras creencias relacionadas son cómo el profesorado percibe el aprendizaje de sus estudiantes, sus posibilidades de desarrollo y sus capacidades. Sin embargo, factores externos como el contexto escolar, el aula y la sociedad pueden limitar el desarrollo de estas creencias, afectando su asociación con las prácticas docentes.
Dentro del marco de creencias se encuentra el modelo sobre las Teorías Implícitas de la Inteligencia el cual establece que las personas pueden tener distintas creencias sobre la naturaleza la inteligencia u otros rasgos (Dweck,1999). Consecuentemente, una persona con una mentalidad de crecimiento considera que las habilidades y la inteligencia son maleables. En contraste, una persona con mentalidad fija considera que las habilidades y la inteligencia, nunca cambian. La literatura que estudia este concepto sugiere que aquellas personas que posean una mentalidad de crecimiento consideran el fracaso como oportunidad de aprendizaje, aceptan críticas constructivas, tienen mejor actitud hacia los retos y persisten en el cumplimiento de metas.
En el contexto educacional existe literatura académica que reporta que la mentalidad de crecimiento es útil para mejorar indicadores educativos aún cuando existen barreras externas importantes tales como el nivel socioeconómico o la raza, que tradicionalmente han limitado las oportunidades de aprendizaje. En efecto, las investigaciones han sido realizadas mayormente examinando al estudiantado y su desempeño académico. Por ejemplo, se ha demostrado que la brecha de rendimiento académico entre estudiantes del primer y último quintil de ingreso se reduce en aquellos que tienen una mentalidad de crecimiento (Claro et al., 2016). Por otro lado, Aronson et al. (2002) estudió cómo los estudiantes afro-americanos en la educación superior en Estados Unidos, tras una intervención cuyo enfoque era cambiar las creencias de fijas a en crecimiento, mejoraron los resultados académicos. Estos estudios subrayan que, aunque las barreras sociales persisten, el fomento de una mentalidad de crecimiento puede atenuar sus consecuencias negativas. De hecho, Dweck y Yeager (2019) establecen que el estudio de las creencias implícitas puede ser útil para abordar parte de las desigualdades en la educación.
Aunque hay literatura académica sobre la mentalidad de crecimiento en docentes, esta generalmente se enfoca en su asociación con el desempeño académico estudiantil en pruebas estandarizadas, y son escasas las investigaciones que analizan exclusivamente las variables de esta mentalidad relacionadas al profesorado. Por lo anterior, una revisión de literatura resulta útil para conocer exactamente qué aplicación ha tenido la mentalidad de crecimiento en la profesión docente. Existe escasa evidencia de que la mentalidad de crecimiento puede catalizar y propiciar las habilidades socioemocionales que se espera que los/as profesores/as promuevan en el estudiantado (Bardach et al., 2021). De igual modo, existen revisiones de literatura y metaanálisis sobre la efectividad de las intervenciones de la mentalidad de crecimiento. Savvides y Bond (2021) encuentra que las intervenciones que promueven mentalidad de crecimiento son mayormente realizadas a nivel de escuela primaria. El metaanálisis de Sisk et al. (2018) encuentra que los efectos de las intervenciones de mentalidad de crecimiento están concentrados en estudiantes o escuelas. Las dos revisiones mencionadas no tienen como unidad de análisis principal al profesorado. En ese sentido, Bardach et al. (2021) expone la importancia de investigar sobre el rol que tienen los factores psicológicos de los/as profesores, entre ellos la mentalidad de crecimiento. A diferencia de esos autores, este artículo se enfoca únicamente en la mentalidad de crecimiento en variables del profesorado.
Por lo anteriormente mencionado, la presente revisión de literatura busca responder la siguiente pregunta de investigación: ¿Qué reportan los estudios sobre la aplicación y el desarrollo de la mentalidad de crecimiento en la profesión docente?
La presente investigación tiene como objetivo principal proveer una revisión sistemática sobre la aplicación y desarrollo de la mentalidad de crecimiento en la profesión docente. Para ello, se siguen los siguientes pasos:
Selección de las palabras claves. Las palabras claves utilizadas, tanto en inglés como en castellano, fueron las siguientes: “growth mindset”, “teaching”, “teacher education”, “implicit beliefs”, “incremental theories”, “mindset”. Las palabras claves en español fueron: “mentalidad en crecimiento”, “teoría incremental de la inteligencia”, “creencias”, “profesión docente”, “retención profesores”. Se utilizan estas palabras clave pues combinan el objetivo de la pregunta de investigación y están basadas en la población objetivo. Se optó por la combinación de estas palabras claves a través del operador booleano entre palabras clave “AND”.
Realizar búsqueda exhaustiva en bases de datos Web of Science, Scopus y ScIELO. Se eligieron estas bases de datos pues cuentan con índices bibliométricos, la cobertura y la disponibilidad de la información.
Selección de artículos basada en los siguientes criterios de inclusión:
Idioma: art ículos escritos en inglés o en español.
Unidad de análisis: artículos que únicamente tratan la mentalidad de crecimiento en relación con el profesorado o con la práctica docente. Se excluyen artículos que reportan la mentalidad de crecimiento en relación con otras unidades de análisis. Esta revisión no hace distinción entre tipos de docentes, ya que busca resumir la evidencia existente sobre la población docente en su totalidad. Por lo tanto, también se incluyen artículos que abordan a estudiantes de pedagogía, profesores en su primer año de servicio y docentes de educación superior, considerando que estos grupos forman o formarán parte de la profesión docente.
Período de búsqueda: desde el año 2010 hasta el año 2023.
Indexación: artículos publicados en revistas con evaluación por pares, para garantizar la fiabilidad de los resultados presentados.
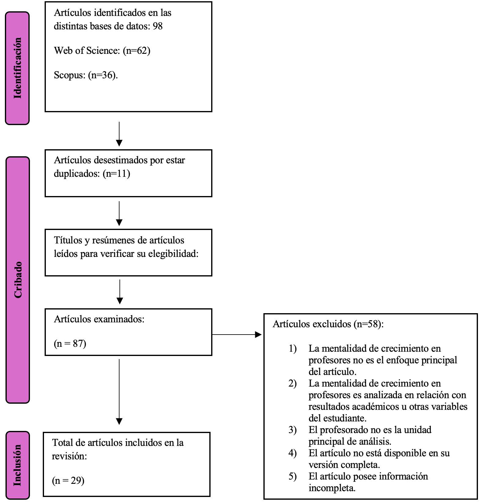
El proceso de búsqueda anteriormente descrito resultó en 98 artículos iniciales, que luego de aplicar los filtros de la búsqueda a cada resumen y título, se redujeron a 29 artículos. Los 69 artículos excluidos de la revisión de literatura no cumplían con los criterios de inclusión pues explicaban la mentalidad de crecimiento del profesor con foco en su relación con el desempeño académico de sus estudiantes. Esta revisión consideró como guía el modelo propuesto por la declaración PRISMA (Preferred Reporting Items for Systematic Reviews and Meta-Analysis) según Page et al. (2021) y se detalla en la Figura 1.
La mayoría de artículos tienen una metodología cuantitativa (n=16); específicamente utilizan correlaciones (n=8), regresiones multinivel y análisis de mediación (n=2), regresiones jerárquicas (n=3), diseño cuasi- experimental (n=2), experimental (n=2), análisis psicométrico (n=1) y análisis descriptivo (n=1). Los artículos cuasi o experimentales incluyen mediciones pre-post intervención y aleatorización de la muestra. Por otro lado, ocho artículos (n=8) cuentan con una metodología cualitativa relacionada con entrevistas semiestructuradas (n=6) y análisis de caso (n=2). Un estudio corresponde a una revisión bibliográfica. Finalmente, tres artículos cuentan con un diseño de métodos mixtos. Esta revisión de literatura no discrimina por el tipo de enfoque metodológico utilizado pues considera que la riqueza detrás de los enfoques cualitativos o cuantitativos puede aportar evidencia global sobre la aplicación que ha tenido la mentalidad de crecimiento. La Tabla 1 presenta los artículos seleccionados para la revisión y sus características.
Tabla 1. Artículos selecionados para la revisión sistemática
| Referencia | Diseño Metodológico | Técnica utilizada para la recogida de datos | Muestra | País |
|---|---|---|---|---|
| Boylan et al. (2018) | Diseño Cualitativo | Entrevistas | 95 profesores de párvulos | Australia |
| Celis-ibáñez y Sebastián- balmaceda (2020) | Diseño Cualitativo | Cualitativa no experimental | 174 profesores en formación | Chile |
| Chan et al. (2020) | Diseño Cuantitativo | Análisis de clúster | 253 profesores en servicio | Hong Kong |
| Chang et al. (2022) | Diseño Cuantitativo | Análisis de trayectoria | 101 profesores en formación | Estados Unidos |
| Daniels et al. (2021) | Diseño Cuantitativo | Pre-Post Experimental | 384 profesores en servicio | Canadá |
| De Kraker-Pauw et al. (2017) | Diseño Cuantitativo | Estudio 1: Correlacional Estudio 2: Correlaciones Bi-Variadas |
Estudio 1: 124 profesores en servicio Estudio 2: 23 profesores en servicio |
Países Bajos |
| DeLuca et al. (2019) | Diseño Cuantitativo | Correlacional | 396 profesores en servicio | Canadá |
| Frondozo et al. (2020) | Diseño Cuantitativo | Correlacional | 547 profesores en servicio | Filipinas |
| Gholami et al. (2022) | Diseño Cuantitativo | Ecuaciones Estructurales | 345 profesores em servicio | Irán |
| Gutshall (2014) | Diseño Mixto | Descriptivo | 113 profesores en formación | Estados Unidos |
| Hecht et al. (2023) | Diseño Cuantitativo | Experimental | 155 profesores en servicio | Estados Unidos |
| Jonsson y Beach (2012) | Diseño Cuantitativo | Propiedades psicométricas | Estudio 1: 176 profesores en formación Estudio 2: 151 profesores em formación |
Suecia |
| Kraft, M. A. (2019) | Diseño Cuantitativo | Experimental | 236 profesores | Estados Unidos |
| Nalipay et al. (2019) | Diseño Cuantitativo | Cuasi-Experimental | 413 profesores en formación | Filipinas |
| Nalipay et al. (2021) | Diseño Cuantitativo | Ecuaciones estructurales | 355 Profesores en formación 547 Profesores en servicio |
Filipinas |
| Nicolosi et al. (2023) | Diseño Cuantitativo | Correlacional | 104 profesores en servicio | Italia |
| Patrick y Joshi. (2019) | Diseño Cuantitativo | Entrevistas- semiestructuradas | 5,500 profesores en servicio | Estados Unidos |
| Privitera (2021) | Diseño Cualitativo | Revisión bibliográfica | 10 artículos indexados | - |
| Rissanen et al. (2019) | Diseño Cualitativo | Caso de estudio | 1 profesor en servicio | Finlandia |
| Robertson et al. (2021) | Diseño Cuantitativo | Correlacional | 22 profesores en servicio | Estados Unidos |
| Rubie-Davies et al. (2012) | Diseño Cuantitativo | Correlacional | 68 profesores en servicio | Nueva Zelanda |
| Schmidt et al. (2015) | Diseño Cualitativo | Análisis de Caso | 1 profesora | Estados Unidos |
| Seaton (2018) | Diseño Mixto | Entrevistas | 58 profesores en servicio | Estados Unidos |
| Stephens et al. (2021) | Diseño Cuantitativo | Cuasi-experimental | 38 profesores en formación | Nueva Zelanda |
| Soleas y Hong (2020) | Diseño mixto | Análisis descriptivo | 694 profesores en formación | Canadá y Estados Unidos |
| Vermote et al. (2020) | Diseño Cuantitativo | Regresiones Jerárquicas | 357 profesores en servicio | Bélgica |
| Vettori et al. (2022) | Diseño Cuantitativo | Análisis de mediación | 249 profesores en formación | Italia |
| Yu et al. (2022) | Diseño Cuantitativo | Regresiones Multinivel | 358 profesores en servicio | Finlandia |
| Zilka et al. (2019) | Diseño Cualitativo | Entrevistas Semi- Estructuradas | 14 profesores en servicio | Israel |
Para el tratamiento de los resultados, se llevó a cabo una sistematización rigurosa, enfocada en la revisión de los títulos, resúmenes y resultados obtenidos de cada artículo identificado en la búsqueda. Aquellos que compartían objetivos similares fueron identificados y, de manera consecuente, agrupados en categorías temáticas que reflejan la coherencia de sus enfoques.
La Tabla 2 indica que la revisión crítica arrojó las siguientes categorías: nueve artículos se enfocan en la aplicación de la mentalidad de crecimiento en el bienestar del docente en la carrera, trece artículos se enfocan en la aplicación de la mentalidad de crecimiento en la práctica pedagógica del docente y siete artículos abordan la posibilidad de modificar las creencias de los docentes.
Tabla 2. Categorías Identificadas
| Categoría | Artículos |
|---|---|
| Categoría 1: Mentalidad de crecimiento en el bienestar del docente en la carrera (n=9) | Frondozo et al., 2020; Nalipay et al., 2021; Chan et al., 2020; Nalipay et al., 2019; Celis-Ibañez & Sebastián, 2020; Kraft, 2019; Soleas & Hong, 2020; Vettori et al., 2022; Nicolosi et al., 2023 |
| Categoría 2: Mentalidad de crecimiento en la práctica pedagógica de los docentes (n=13) | Boylan et al., 2018; DeLuca., 2019; Hecht et al., 2023; Rissanen et al. ,2019; Robertson et al., 2021; Rubie-Davies., 2012; Jonsson & Beach, 2012; Vermote et al., 2020; De Kraker-Pauw et al., 2017; Daniels et al., 2021; Schmidt et al., 2015; Yu et al., 2022 ; Chang et al., 2022 |
| Categoría 3: Posibilidad de modificar las creencias de los docentes (n=7) | Privitera, 2021; Stephens et al., 2022; Seaton, 2018; Gutshall, 2014; Patrick et al., 2019; Zilka et al., 2019; Gholamil et al., 2022 |
Dentro de esta categoría se encuentran nueve artículos que otorgan evidencias sobre el bienestar docente. Para esta revisión, adoptaremos la definición de bienestar docente según Schad y Johnsson (2019): “el bienestar docente se compone de relaciones laborales satisfactorias, manejo de emociones y compromiso con el trabajo” (p.24).
Un primer grupo de estudios se refiere a la relación entre la mentalidad de crecimiento y el manejo de emociones. En general, estos artículos reportan que la mentalidad de crecimiento puede mediar las emociones de los/as profesores, lo cual incide en su bienestar general. En una investigación realizada en Filipinas, que incluye a 355 profesores en formación y 547 profesores en servicio, Nalipay et al. (2021) a través de ecuaciones estructurales, muestran que una mentalidad de crecimiento puede predecir las emociones positivas relacionadas con el disfrute de la profesión docente y también podría reducir las frustraciones. De igual modo, en una investigación correlacional, realizada con 104 profesores del nivel primario, se observa que las creencias relacionadas a una mentalidad de crecimiento permiten manejar las crisis que pueden surgir tanto en el aula como en el sistema educativo. Estos resultados son especialmente interesantes pues la investigación se realizó en Italia durante la primera cuarentena producto de la pandemia COVID-19 (Nicolosi et al., 2023).
Otra sub-categoría se refiere a la relación entre la mentalidad de crecimiento y el compromiso que tiene el docente con la carrera. Se observan dos artículos que explicitan hallazgos opuestos. Vettori et al. (2022), en un análisis de mediación con 273 profesores en Italia, señala que la mentalidad de crecimiento no guarda asociación con la satisfacción laboral ni con la duración del docente en la carrera. En contraste, Nalipay et al. (2019), con una investigación cuasiexperimental a 413 profesores en Filipinas, establece que si existe asociación positiva entre la mentalidad de crecimiento y la satisfacción laboral de los/as docentes.
En una investigación correlacional, donde participaron 547 profesores en Filipinas, Frondozo et al. (2020) documenta que la mentalidad de crecimiento permite que el profesorado disfrute más de su carrera, lo que se traduce en un nivel de bienestar, que podría ser sostenido en el tiempo. Similarmente, un estudio cuasi- experimental con 236 profesores en Estados Unidos muestra que, aunque la mentalidad de crecimiento se relaciona positivamente con el rendimiento docente, debe entenderse en un marco más amplio que incluye habilidades socioemocionales y creencias implícitas (Kraft, 2019).
Los estudios que relacionan la mentalidad de crecimiento y el compromiso docente señalan que esta puede ser un factor que conduce hacia un mayor nivel de compromiso. Sin embargo, cabe destacar que el compromiso está relacionado con la vocación del docente.
En un estudio de caso realizado por Celis-Ibañez y Sebastián-Balmaceda (2020) con 174 profesores en formación en Chile, se reporta que, si bien la vocación docente puede estar mediada por factores intrínsecos, las creencias sobre los propios atributos son importantes para mantener la vocación en la carrera. La idea anterior también se presenta en Soleas y Hong (2020) quienes a través de un diseño mixto con 694 profesores en Canadá y en Estados Unidos, reportan que, aunque los docentes cuenten con una alta vocación hacia su carrera, deben existir recursos que faciliten el quehacer diario sin la necesidad de ‘romantizar’ las tareas que el docente debe realizar diariamente en su práctica. Dicho esto, la mentalidad de crecimiento podría derribar el idealismo dentro de la profesión y permitir que los/as profesores cuenten con bienestar y eficiencia, según reportan Chan et al. (2020) utilizando un análisis de conglomerados con las respuestas de 253 profesores de escuelas en Hong Kong.
Los nueve estudios identificados en cuanto a la relación del bienestar docente con la mentalidad de crecimiento reportan evidencia generalmente positiva. En primer lugar, la mentalidad de crecimiento permite que los docentes puedan tener un mejor manejo de las emociones en su quehacer. En segundo lugar, se observa que aquellos docentes con este tipo de mentalidad pueden tener un mayor compromiso hacia la carrera. Finalmente, se observa que la vocación, una variable del docente que puede conllevar idealización, es más sostenible si es que el/la docente posee una mentalidad de crecimiento.
Dentro de esta categoría se encuentran trece artículos que otorgan evidencias sobre las distintas aplicaciones que tiene la mentalidad de crecimiento en la práctica pedagógica dentro del aula. La práctica pedagógica del docente incluye, pero no está limitada, a las tareas que los/as docentes realizan dentro del aula que puedan propiciar el aprendizaje.
Los resultados de los estudios analizados en cuanto a la relación entre mentalidad de crecimiento y la retroalimentación que entrega el profesorado en el aula reportan conclusiones mixtas. Además, cuentan con heterogeneidad en las variables de resultados y los métodos utilizados para reportar las conclusiones. Entonces, la literatura de la relación entre estas variables se puede considerar como incipiente y es una brecha de investigación para estudios futuros.
El estudio de correlaciones bi-variadas con 124 profesores STEM en Países Bajos, De Kraker-Pauw et al. (2017), encuentran que contrario a las expectativas de la literatura en este tema, la mentalidad de crecimiento puede tener una asociación negativa con el tipo de retroalimentación otorgada. Los autores explican que los/ as profesores felicitan el resultado de los estudiantes en lugar de retroalimentar el esfuerzo. Por el contrario, DeLuca et al. (2019) que también utiliza una metodología correlacional, pero con 396 profesores canadienses, encuentra que el profesorado con mentalidad de crecimiento, puede ofrecer el tipo de retroalimentación que se concentra en otorgar comentarios específicos sobre el éxito o fracaso de una tarea.
Una investigación que utiliza regresiones jerárquicas en una muestra de 357 profesores en Bélgica, encuentra que la mentalidad de crecimiento tiene una asociación positiva y fuerte, con las prácticas en el aula que colocan al estudiante como protagonista de su aprendizaje, tal como lo es una retroalimentación delimitada y contextualizada (Vermote et al., 2020). La hipótesis anterior se explora en Chang et al. (2022) con un análisis de trayectoria donde participaron 101 profesores en Estados Unidos y encuentran que aquellos con una mentalidad de crecimiento son capaces de otorgar retroalimentación efectiva a distintos tipos de estudiantes. Finalmente, un análisis de varianza (ANOVA) por Jonsson y Beach (2012) a 327 profesores en servicio en Suecia, encuentra asociaciones positivas y significativas entre la mentalidad de crecimiento y la retroalimentación efectiva.
En esta categoría se identificó otra línea de estudios que está enfocada en el tipo de creencias que tiene el docente sobre el aprendizaje de los estudiantes. En primer lugar, los profesores con mentalidad de crecimiento reconocen y asimilan que el aprendizaje conlleva factores no cognitivos que pueden influir en el aprendizaje como reporta Boylan et al. (2018) a través de 95 entrevistas realizadas a profesores de párvulos. Similarmente, DeLuca et al. (2019), encuentra que existe una asociación positiva entre la variable que mide que tan maleable creen los docentes que es la mentalidad de los estudiantes y la probabilidad de utilizar estrategias de aprendizaje en el aula que desarrollen el pensamiento crítico. Similarmente Hecht et al. (2023) en una intervención a 155 profesores en servicio, encuentra que el profesorado que recibe entrenamiento sobre mentalidad de crecimiento puede adoptar prácticas pedagógicas vinculadas a promover el compromiso estudiantil con el aprendizaje.
Una práctica pedagógica que también se asocia con la mentalidad de los profesores tiene que ver con el tipo de evaluación de aprendizajes que el profesorado realiza en en el aula. En estudio de caso, se ha observado que docentes con mentalidad de crecimiento pueden usar evaluaciones formativas y auto-evaluación en el aula (Rissanen et al., 2019). Simultáneamente, un estudio experimental de 384 profesores canadienses, reporta que contar con mentalidad maleable, puede provocar que los/as profesores tengan un enfoque holístico hacia la instrucción en el aula, lo cual entre múltiples componentes, se evidencia a través del uso de los resultados de las evaluaciones formativas (Daniels et al., 2021). Los estudios analizados respecto a esta categoría indican que existe una predominancia de la evidencia positiva respecto a la mentalidad de crecimiento y el tipo de aprendizaje que el profesor promueve en el aula en su práctica pedagógica.
Los estudios analizados reportan que existen asociaciones entre el tipo de mentalidad de crecimiento y el manejo de expectativas de comportamiento en el aula. Se observa que, generalmente, la mentalidad de crecimiento del profesor/a puede guardar relación positiva con el manejo del comportamiento del estudiantado en el aula. Un estudio correlacional con 68 profesoras encontró que la mentalidad de crecimiento del docente es un factor clave para promover un ambiente positivo en el aula con niños de 8 a 10 años, incluso en escuelas con altos niveles de desigualdad económica, donde la convivencia suele ser más desafiante (Rubie-Davies et al., 2012).
Robertson et al. (2021) en un estudio correlacional señala que, si bien las asociaciones de la mentalidad de crecimiento y el manejo proactivo dentro del aula son significativas, deben tomarse con mesura debido a la incertidumbre respecto de la validez de la medición de estos constructos. Por otro lado, Schmidt et al. (2015) en un estudio de caso realizado con una profesora en Estados Unidos, se observa que las profesoras que tienen una mentalidad de crecimiento pueden tener aulas donde exista armonía y un comportamiento prosocial.
En resumen, los estudios analizados respecto a la práctica pedagógica de los docentes y la mentalidad de crecimiento se pueden observar desde tres esferas: retroalimentación en el aula, promoción efectiva del aprendizaje y manejo del comportamiento en el aula. En primer lugar, los/as docentes que poseen una mentalidad de crecimiento podrían otorgar retroalimentación efectiva. En segundo lugar, la mentalidad de crecimiento podría promover pensamiento crítico que conlleva al aprendizaje efectivo. En tercer lugar, el profesorado con este tipo de mentalidad puede implementar evaluaciones en el aula que sean formativas. Finalmente, los/as docentes con este tipo de mentalidad tienen estrategias que permiten mantener el comportamiento de armonía dentro del aula.
Existe una línea de artículos que se dedica a evaluar la posibilidad de que el profesorado pueda modificar las creencias respecto a sus propias habilidades. Específicamente, esta categoría identifica siete artículos que establecen que la existencia de creencias maleables se relaciona con el concepto de neuro plasticidad, el cual establece que el cerebro tiene la capacidad de reestructurarse y adaptarse a nuevas situaciones (Ng, 2018).
Una revisión sistemática de diez artículos indexados encuentra que es necesario que los/as profesores/ as reciban formación sobre neurociencia (Privitera, 2021). La hipótesis anterior es respaldada por Gholami et al. (2022), quienes en un análisis correlacional con 345 profesores en Irán, muestran que aquellos con mayor conocimiento sobre la neuroplasticidad cerebral presentan una mayor probabilidad de desarrollar una mentalidad de crecimiento.
Por otro lado, es posible que el profesorado pueda modificar sus creencias, condicionado a que se consideren los factores externos que muchas veces inciden en el tipo de mentalidad. Un estudio descriptivo sobre la predisposición de los/as docentes en formación indica que se pueden cambiar las creencias si las intervenciones se realizan de manera consistente según un análisis descriptivo hecho a 114 profesores por Gutshall (2014) y un estudio mixto realizado por Seaton (2018) con 58 profesores en Estados Unidos.
Similarmente, Patrick y Joshi (2019) utilizando entrevistas semi-estructuradas, señalan que, aunque los docentes tengan creencias arraigadas sobre sus formas (este comportamiento es típico en docentes con muchos años de experiencia), pueden cambiar, condicionado a recibir capacitación y acompañamiento. Pero, algunos factores, como la raza, pueden influir, sobre todo si el/la profesor/a se identifica como una minoría racial (Stephens et al., 2022). En esta misma línea Zilka et al. (2019), utilizando entrevistas semi- estructuradas, establece que la mentalidad de crecimiento puede estar influenciada por experiencias pasadas del profesorado, tal como la identidad y los éxitos o fracasos que ha tenido en la carrera. La Tabla 3 identifica el sistema de categorías y sub-categorías identificadas en el análisis de los artículos.
Tabla 3. Categorías y sub-categorías identificadas
| Categoría | Sub-Categoría |
|---|---|
| 1. Categoría 1: Mentalidad de crecimiento en el bienestar del docente en la carrera | – Manejo de emociones en la carrera – Compromiso en la carrera – Vocación en la carrera |
| 2. Categoría 2: Mentalidad de crecimiento en la práctica pedagógica de los docentes | – Retroalimentación en el aula – Tipo de aprendizaje que se promueve en el aula. – Tipo de evaluación que el profesorado implementa en el aula – Manejo de expectativas de comportamiento en el aula |
| 3. Categoría 3: Posibilidad de modificar las creencias de los docentes | – Ninguna categoría identificada |
La presente revisión de literatura tuvo como propósito explorar la aplicación y desarrollo que ha tenido la mentalidad de crecimiento en los y las docentes en las investigaciones realizadas en el período 20102023. Los veintinueve artículos analizados reportan que la aplicación ha girado en torno a tres categorías principales: el bienestar docente, las prácticas pedagógicas y la posibilidad de cambiar creencias que tienen los y las docentes.
En primer lugar, los nueve estudios revisados en cuanto a la relación del bienestar docente con la mentalidad de crecimiento mostraron que esta asociación típicamente se mide a través del manejo de emociones, compromiso y el nivel de vocación que tiene el profesorado. En ese sentido, la mentalidad de crecimiento se relaciona con un mayor nivel de compromiso y satisfacción (Frondozo et al., 2020). Igualmente, un/a docente con mentalidad de crecimiento puede tener un mayor disfrute de la carrera (Vettori et al., 2022) aunque también existe investigación que demuestra lo contrario (Nalipay et al., 2019). Se necesitarán de futuras investigaciones para entender el contexto y variables latentes que puedan explicar esta relación con mayor profundidad. Estas investigaciones deberían considerar las limitaciones del constructo de mentalidad de crecimiento.
En segundo lugar, trece estudios exploran la relación entre mentalidad y prácticas pedagógicas del docente. El profesorado con mentalidad de crecimiento tiende a tener prácticas pedagógicas que complementan su quehacer en el aula en múltiples aspectos. Sobre todo, en el tipo de aprendizaje que promueve (Boylan et al., 2018; DeLuca et al., 2019; Hecht et al., 2023), además, en el manejo de las expectativas de comportamiento y finalmente, en el tipo de evaluaciones que utiliza (Daniels et al., 2021; Rissannen et al., 2019). También se asociaría con la retroalimentación enfocada en el proceso más que en el logro final (De Kraker-Pauw et al, 2017; Jonsson y Beach, 2012). Estos hallazgos se relacionan con William y Leahy (2007) que establecen que las evaluaciones formativas y la retroalimentación guardan relación positiva con la promoción del aprendizaje efectivo en el estudiantado.
En tercer lugar, siete estudios reportan que aunque conlleve de tiempo, consistencia y práctica, las creencias de los/as profesores pueden cambiar (Gutshall, 2014; Seaton, 2018). Los hallazgos se vinculan con la posibilidad de que los/as docentes que tengan conocimiento sobre la neurociencia, tal como manejar el concepto de neuro plasticidad, puede estar asociado con el cambio de creencias en el profesorado. Sin embargo, es necesario considerar que características del docente pueden incidir en estos cambios tales como su raza o la experiencia previa en la carrera (Stephens et al., 2021; Zilka et al., 2019).
Nuestros hallazgos revelan que la aplicación de la mentalidad de crecimiento no se ha orientado intencionalmente a abordar problemas estructurales de la profesión docente, como las bajas tasas de retención. El profesorado, afectado por altos niveles de estrés y otras variables críticas, está abandonando la carrera con mayor rapidez. No obstante, existe consenso en la literatura académica sobre el potencial de la mentalidad de crecimiento para promover resultados positivos en los estudiantes, así como para mejorar sus habilidades socioemocionales (Blackwell et al., 2007; Romero et al., 2014). Este contraste entre los efectos observados plantea una oportunidad prometedora. Es paradójico que la mentalidad de crecimiento haya demostrado ser eficaz en mejorar aspectos relacionados con el estudiantado, pero no se haya explorado suficientemente su asociación con variables asociadas al propio profesorado. A su vez, es promisorio, ya que este constructo podría ser clave para prevenir el abandono prematuro de la profesión docente.
Por otro lado, se observan dos hechos en cuanto a la metodología utilizada en los artículos analizados. En primer lugar, los métodos utilizados para explorar las hipótesis presentadas son mayormente correlacionales, con excepción de tres estudios que utilizan intervenciones o son cuasiexperimentales. Entonces, investigaciones futuras deberían abordar la relación causal y sus mecanismos dentro de la mentalidad de crecimiento en docentes, lo que ha sido establecido anteriormente por Yeager et al. (2022). En segundo lugar, los instrumentos de medición que se utilizan en estos artículos no cuentan con evidencias de validez suficientes, o al menos no son reportadas en todos los artículos, lo que puede provocar sesgos en la medición. Entonces, futuras investigaciones deberán documentar la importancia de contar con mediciones de constructos de profesores que cuenten con propiedades psicométricas que permitan emitir juicios válidos, confiables y libres de sesgo.
Pese a los aportes en comprender la aplicación y el desarrollo de la mentalidad de crecimiento en la profesión docente, esta revisión presenta limitaciones. En primer lugar, los estudios analizados pertenecen mayormente al enfoque cuantitativo de enfoque descriptivo o correlacional; existen escasos estudios causales (n=3) que puedan permitir evaluar mejor la relación entre la mentalidad de crecimiento y otras variables relacionadas al propio profesor. Además, los estudios cualitativos analizados, a pesar de que aportan evidencia con mayor profundidad sobre el fenómeno de estudio, contienen una muestra de un tamaño pequeño que dificulta extrapolar sus resultados a una población mayor. En segundo lugar, aunque los criterios de inclusión y exclusión fueron aplicados, la revisión estuvo basada en artículos escritos mayormente en inglés dado que es el idioma que predomina en este tema de investigación. Entonces, puede ser que algunos contextos no anglosajones hayan quedado excluidos de la revisión. En tercer lugar, aunque destacamos que la mentalidad de crecimiento puede depender del contexto, tal como lo señala la literatura, no realizamos un análisis detallado sobre cómo varían los usos de la mentalidad de crecimiento en función de características del docente, como la asignatura que enseña, su edad o su género. Futuras investigaciones pueden realizar estudios comparativos sobre la aplicación de la mentalidad de crecimiento según variables del profesor/a; aunque los resultados de estos estudios dependerán en parte, del contexto donde se realicen, es importante contar con este tipo de evidencia.
Los resultados sugieren la importancia de explorar la relación existente entre la mentalidad de crecimiento y la persistencia en la profesión docente ya que podría dar pistas respecto de cómo fortalecer la retención. Finalmente, los resultados destacan la importancia de reevaluar la confiabilidad y validez de los instrumentos actuales utilizados para medir la mentalidad del profesorado y las conclusiones derivadas de ellos, especialmente en relación con otras variables. Es necesario que futuras investigaciones aporten evidencias de validez de la medición de la mentalidad de crecimiento en docentes y cuáles son las ventajas o desventajas que arrojan estos tipos de mediciones. Una posible limitación de este tipo de investigación sería el tipo de instrumento que utilice la misma para producir los puntajes respecto de mentalidad de crecimiento y qué significan los mismos en la práctica. Finalmente, futuras investigaciones deberían reportar sus hallazgos en castellano, y contar con diversidad territorial para tratar de complementar las reformas estructurales hechas a la profesión que han sido necesarias pero insuficientes para mejorar bajas tasas de retención docente.
Ajzenman, N., Bertoni, E., Elacqua, G., Marotta, L. & Mendez Vargas, C. (2020). Altruism or Money? Reducing Teacher Sorting using Behavioral Strategies in Peru. SSRN Electronic Journal. https://doi.org/10.2139/ ssrn.3664284
Aronson, J., Fried, C. B. & Good, C. (2002). Reducing the Effects of Stereotype Threat on African American College Students by Shaping Theories of Intelligence. Journal of Experimental Social Psychology, 38(2), 113–125. https://doi.org/https://doi.org/10.1006/jesp.2001.1491
Bardach, L., Klassen, R. M. & Perry, N. E. (2021). Teachers Psychological Characteristics : Do They Matter for Teacher Effectiveness , Teachers Well-being , Retention , and Interpersonal Relations ? An Integrative Review. Educational Psychology Review.
Banco Interamericano de Desarrollo. BID (2020). El problema de la escasez de docentes en Latinoamérica y las políticas para enfrentarlo. https://publications.iadb.org/es/el-problema-de-la-escasez-de-docentes- en-latinoamerica-y-las-politicas-para-enfrentarlo
Blackwell, L. S., Trzesniewski, K. H. & Dweck, C. (2007). Blackwell_et_al-2007-Child_Development. Child Development, 78(1), 246–263.
Boylan, F., Barblett, L. & Knaus, M. (2018). Early childhood teachers’ perspectives of growth mindset: Developing agency in children. Australasian Journal of Early Childhood, 43(3), 16–24. https://doi. org/10.23965/AJEC.43.3.02
Celis-ibáñez, L. & Sebastián-balmaceda, C. (2020). Representaciones sociales de la vocación docente Social Representations of Teaching Vocation. 120–148.
Chan, V., Chiu, C.-Y., Lee, S.-L., Leung, I. & Tong, Y.-Y. (2020). Growth Mindset as a Personal Preference Predicts Teachers’ Favorable Evaluation of Positive Education as an Imported Practice When Institutional and Normative Support for It Are Both Strong or Both Weak. Frontiers in Psychology, 11. https://doi. org/10.3389/fpsyg.2020.00934
Chang, T., Lee, G. T., Bruce, A. T., Powell, D. N. & Yang, L. (2022). College Instructors ’ Theories of Intelligence and Awareness of Student Dyslexia as Related to the Feedback Provided for the Student ’ s Writing Assignment. https://doi.org/10.1177/00332941221119407
Claro, S., Paunesku, D. & Dweck, C. S. (2016). Growth mindset tempers the effects of poverty on academic achievement. Proceedings of the National Academy of Sciences of the United States of America, 113(31), 8664–8668. https://doi.org/10.1073/pnas.1608207113
Claro, S., Paredes, V., Cabezas, V. & Cruz, G. (2021). Do students improve their academic achievement when assigned to a growth mindset teacher ? Evidence from Census Data in Chile using a Student Fixed Effect Design. EdWorkingPaper, 21–402. https://doi.org/https://doi.org/10.26300/wxmt-dc81
Correia, R., Louzano, P., Rivero, R., Sánchez, M. & Cona, G. (2022). Understanding Motivation towards Teaching in SerProfe UDP: A First Step to Foster Equity in Teacher Education Admission in Chile. In Education Sciences (Vol. 12, Issue 5). https://doi.org/10.3390/educsci12050363
Daniels, L. M., Goegan, L. D., Radil, A. I. & Dueck, B. S. (2021). Supporting pre-service teachers’ motivation beliefs and approaches to instruction through an online intervention. British Journal of Educational Psychology, 91(2), 775–791. https://doi.org/10.1111/bjep.12393
Darling-Hammond, L. (2016). Research on Teaching and Teacher Education and Its Influences on Policy and Practice. Educational Researcher, 45(2), 83–91. https://doi.org/10.3102/0013189X16639597
De Kraker-Pauw, E., Van Wesel, F., Krabbendam, L. & Van Atteveldt, N. (2017). Teacher mindsets concerning the malleability of intelligence and the appraisal of achievement in the context of feedback. Frontiers in Psychology, 8(SEP). https://doi.org/10.3389/fpsyg.2017.01594
DeLuca, C., Coombs, A. & LaPointe-McEwan, D. (2019). Assessment mindset: Exploring the relationship between teacher mindset and approaches to classroom assessment. Studies in Educational Evaluation, 61, 159–169. https://doi.org/https://doi.org/10.1016/j.stueduc.2019.03.012
Dweck, C. (1999). Self-theories: Their Role in Motivation, Personality, and Development - Carol S. Dweck https://books.google.com.do/books?hl=en&lr=&id=P0Mccblm6eUC&oi=fnd&pg=PR7&dq=Dwec k,+C.+S.+(1999).+Self-theories:+Their+role+in+motivation,+personality,+and+development.+Phil- adelphia:+Psychology+Press&ots=369xmW4GmZ&sig=AXmvS_Fm2Jr5hmhk0gmxKz4922k&redir_es
Dweck, C. S. & Yeager, D. S. (2019). Mindsets: A View From Two Eras. In Perspectives on Psychological Science (Vol. 14, Issue 3, pp. 481–496). https://doi.org/10.1177/1745691618804166
Fives, H. & Buehl, M. M. (2008). What do teachers believe? Developing a framework for examining beliefs about teachers’ knowledge and ability. Contemporary Educational Psychology, 33(2), 134–176. https://doi. org/10.1016/J.CEDPSYCH.2008.01.001
Frondozo, C. E., King, R. B., Nalipay, Ma. J. N. & Mordeno, I. G. (2020). Mindsets matter for teachers, too: Growth mindset about teaching ability predicts teachers’ enjoyment and engagement. Current Psychology. https://doi.org/10.1007/s12144-020-01008-4
Gholami, K., Alikhani, M., & Tirri, K. (2022). Empirical model of teachers ’ neuroplasticity knowledge , mindset , and epistemological belief system. December, 1–10. https://doi.org/10.3389/fpsyg.2022.1042891
Gutshall, C. (2014). Creencias predispuestas de los futuros docentes sobre la capacidad de los alumnos. Electronic Journal of Research in Educational Psychology, 12(34), 785–802.
Hecht, C., Bryan, C. J. & Yeager, D. S. (2023). A values-aligned intervention fosters growth mindset-supportive teaching and reduces inequality in educational outcomes. Proceedings of the National Academy of Sciences, 120, 2017. https://doi.org/10.1073/pnas
Jonsson, A. C. & Beach, D. (2012). Predicting the use of praise among pre-service teachers: The influence of implicit theories of intelligence, social comparison and stereotype acceptance. Education Inquiry, 3(2), 259–281. https://doi.org/10.3402/edui.v3i2.22033
Kraft, M. A. (2019). Teacher effects on complex cognitive skills and social-emotional competencies. Journal of Human Resources, 54(1), 1–36. https://doi.org/10.3368/JHR.54.1.0916.8265R3
Kelchtermans, G. (2017). ‘Should I stay or should I go?’: unpacking teacher attrition/retention as an educational issue. Teachers and Teaching, 23(8), 961–977. https://doi.org/10.1080/13540602.2017.1379793
Musset, P. (2010). Initial Teacher Education and Continuing Training Policies in a Comparative Perspective: Current Practices in OECD Countries and a Literature Review on Potential Effects. In OECD, Directorate for Education, OECD Education Working Papers.
Nalipay, J. N., King, R. B., Haw, J. Y., Mordeno, I. G. & Dela Rosa, E. D. (2021). Teachers who believe that emotions are changeable are more positive and engaged: The role of emotion mindset among in- and preservice teachers. Learning and Individual Differences, 92(July), 102050. https://doi.org/10.1016/j. lindif.2021.102050
Nalipay, Ma. J. N., Mordeno, I. G., Semilla, J. B. & Frondozo, C. E. (2019). Implicit Beliefs about Teaching Ability, Teacher Emotions, and Teaching Satisfaction. The Asia-Pacific Education Researcher, 28(4), 313–325. https://doi.org/10.1007/s40299-019-00467-z
Ng, B. (2018). The neuroscience of growth mindset and intrinsic motivation. Brain Sciences, 8(2). https://doi. org/10.3390/brainsci8020020
Nicolosi, S., Alba, M. & Pitrolo, C. (2023). Primary school teachers’ emotions, implicit beliefs, and self-efficacy during the COVID-19 pandemic. January, 1–8. https://doi.org/10.3389/fspor.2022.1064072
Organización para la Cooperación y el Desarrollo, TALIS 2018 Results (Volume II). (2020). OECD. https://doi. org/10.1787/19cf08df-en
Page, M. J., McKenzie, J. E., Bossuyt, P. M., Boutron, I., Hoffmann, T. C., Mulrow, C. D., Shamseer, L., Tetzlaff, J. M., Akl, E. A., Brennan, S. E., Chou, R., Glanville, J., Grimshaw, J. M., Hróbjartsson, A., Lalu, M. M., Li, T., Loder, E. W., Mayo-Wilson, E., McDonald, S., … Moher, D. (2021). The PRISMA 2020 statement: An updated guideline for reporting systematic reviews. PLoS Medicine, 18(3), 1–15. https://doi.org/10.1371/ JOURNAL.PMED.1003583
Patrick, S. K. & Joshi, E. (2019). “Set in Stone” or “Willing to Grow”? Teacher sensemaking during a growth mindset initiative. Teaching and Teacher Education, 83, 156–167. https://doi.org/10.1016/j.tate.2019.04.009
Privitera, A. J. (2021). A scoping review of research on neuroscience training for teachers. Trends in Neuroscience and Education, 24(July), 100157. https://doi.org/10.1016/j.tine.2021.100157
Rissanen, I., Kuusisto, E., Tuominen, M. & Tirri, K. (2019). In search of a growth mindset pedagogy: A case study of one teacher’s classroom practices in a Finnish elementary school. Teaching and Teacher Education, 77, 204–213. https://doi.org/10.1016/j.tate.2018.10.002
Robertson, R. E., Buonomo, K., Abdellatif, H. & DeMaria, S. (2021). Results of a “Psychologically Wise” professional development to increase teacher use of proactive behavior management strategies. Psychology in the Schools, 58(9), 1724–1740. https://doi.org/https://doi.org/10.1002/pits.22526
Romero, C., Master, A., Dave Paunesku, Carol, S. D. & Gross, J. J. (2014). Academic and emotional functioning in middle school: The role of implicit theories. Emotion, 14(2), 227–234. https://doi.org/10.1037/a0035490
Rubie-Davies, C. M., Flint, A. & McDonald, L. G. (2012). Teacher beliefs, teacher characteristics, and school contextual factors: What are the relationships? British Journal of Educational Psychology, 82(2), 270– 288. https://doi.org/10.1111/j.2044-8279.2011.02025.x
Savvides, H. & Bond, C. (2021). How does growth mindset inform interventions in primary schools? A systematic literature review. Educational Psychology in Practice, 37(2), 134–149. https://doi.org/10.1080 /02667363.2021.1879025
Schad, E. & Johnsson, P. (2019). Well-being and working conditions of teachers in Sweden. Psychology in Russia: State of the Art, 12(4), 23–46. https://doi.org/10.11621/pir.2019.0402
Schmidt, J., Shumow, L. & Kackar-Cam, H. (2015). Exploring teacher effects for mindset intervention outcomes in seventh-grade science classes. Middle Grades Research Journal, 10(2), 17–32.
Seaton, F. S. (2018). Empowering teachers to implement a growth mindset. Educational Psychology in Practice, 34(1), 41–57. https://doi.org/10.1080/02667363.2017.1382333
Sisk, V. F., Burgoyne, A. P., Sun, J., Butler, J. L. & Macnamara, B. N. (2018). To What Extent and Under Which Circumstances Are Growth Mind-Sets Important to Academic Achievement? Two Meta-Analyses. Psychological Science, 29(4), 549–571. https://doi.org/10.1177/0956797617739704
Soleas, E. K. & Hong, J. (2020). The school of hard knocks: Pre-service teachers’ mindset and motivational changes during their practicum. Foro de Educación. https://www.forodeeducacion.com/ojs/index.php/ fde/article/view/726
Vaillant, D. & Gonzalez-Vaillant, G. (2017). Within the teacher evaluation policies black box: two case studies. Teacher Development, 21(3), 404–421. https://doi.org/10.1080/13664530.2016.1259649
Valenzuela, J. P., Lopez, I. & Sevilla, A. (2022). La Movilidad De Los Nuevos Profesores Chilenos En La Última Década: Aprendizajes Para Mejores Políticas Publicas. Centro de Investigación Avanzada em Educación (CIAE), 1–24.
Vermote, B., Aelterman, N., Beyers, W., Aper, L., Buysschaert, F. & Vansteenkiste, M. (2020). The role of teachers ’ motivation and mindsets in predicting a ( de ) motivating teaching style in higher education : a circumplex approach. Motivation and Emotion, April. https://doi.org/10.1007/s11031-020-09827-5
Vettori, G., Bigozzi, L., Vezzani, C. & Pinto, G. (2022). The mediating role of emotions in the relation between beliefs and teachers’ job satisfaction. Acta Psychologica, 226(May 2021), 103580. https://doi.org/10.1016/j. actpsy.2022.103580
Wiliam, D. & Leahy, S. (2007). A theoretical foundation for formative assessment. In Formative Classroom Assessment: Theory into Practice (pp. 29–42).
Yeager, D. S., Carroll, J. M., Buontempo, J., Cimpian, A., Woody, S., Crosnoe, R., Muller, C., Murray, J., Mhatre, P., Kersting, N., Hulleman, C., Kudym, M., Murphy, M., Duckworth, A. L., Walton, G. M. & Dweck, C. S. (2022). Teacher Mindsets Help Explain Where a Growth-Mindset Intervention Does and Doesn’t Work. Psychological Science, 33(1), 18–32. https://doi.org/10.1177/09567976211028984
Yu, J., Kreijkes, P. & Salmela-Aro, K. (2022). Students’ growth mindset: Relation to teacher beliefs, teaching practices, and school climate. Learning and Instruction, 80, 101616. https://doi.org/https://doi. org/10.1016/j.learninstruc.2022.101616
Zilka, A., Grinshtain, Y. & Bogler, R. (2019). Fixed or growth: teacher perceptions of factors that shape mindset. In Professional Development in Education. https://doi.org/10.1080/19415257.2019.1689524
Esta investigación fue posible gracias al financiamiento para estudios de Doctorado, otorgado por la Agencia Nacional de Investigación y Desarrollo (ANID), bajo el folio número 21220501, y el financiamiento otorgado por el Ministerio de Educación, Ciencia y Tecnología de Chile para el ‘Núcleo Milenio Experiencia Estudiantil en Educación Superior’ y el proyecto Fondecyt 12118803.↩︎