Hydrodynamic controls of morpho-sedimentary evolution in a rock-bounded mesotidal estuary. Tina Menor (N Spain)
Resumen
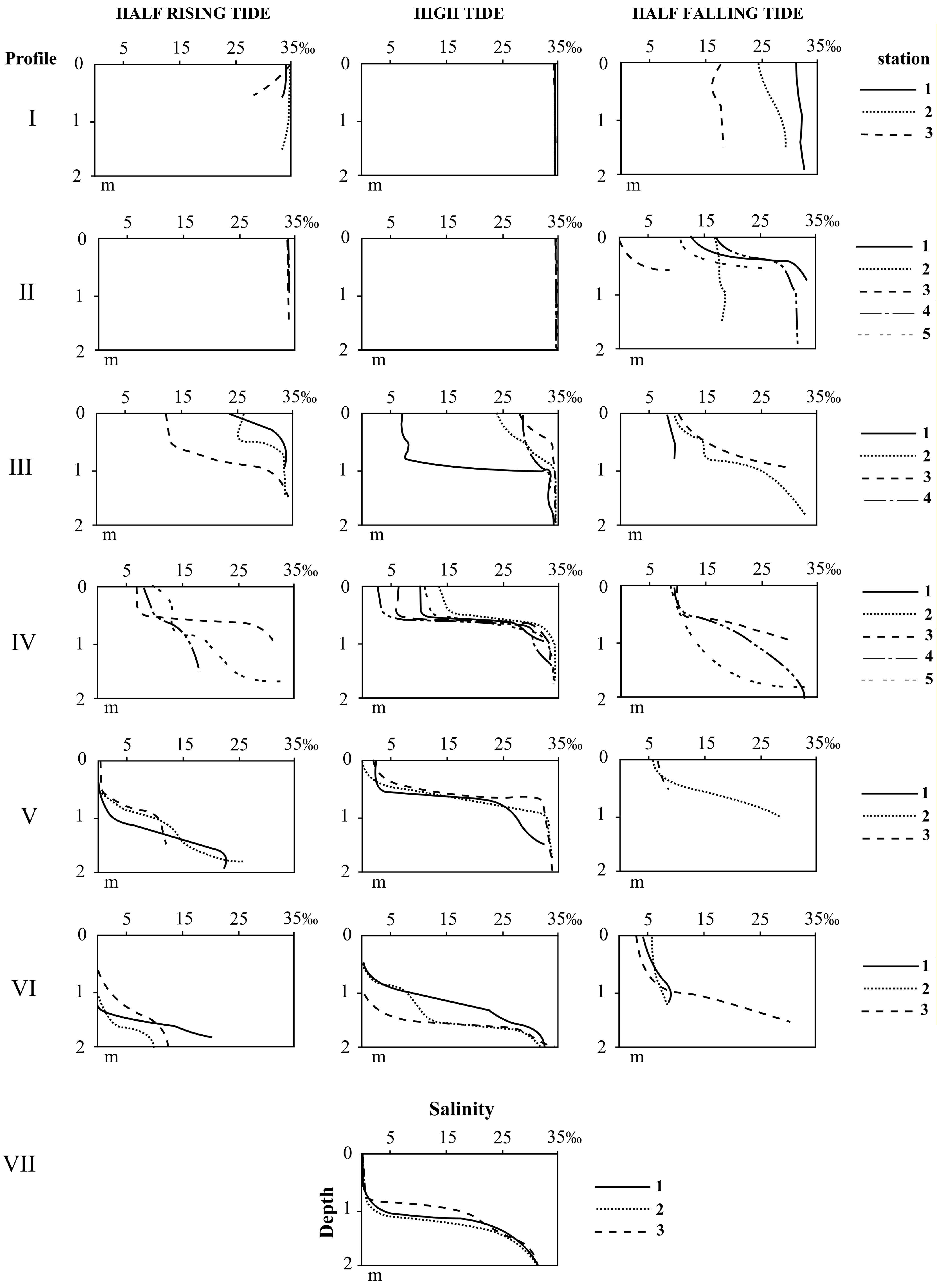
El estuario de Tina Menor es un valle encajado altamente confinado y sedimentariamente en un avanzado estado de colmatación. Se caracteriza por su zonación longitudinal en cuatro segmentos bien diferenciados desde su sector más externo hasta el límite interior: Complejo de Desembocadura, Bahía, Llanuras Mareales y Canal Superior. El interior de la Bahía y las Llanuras Mareales de carácter fangoso (zonas semi-reclamadas) son las más extensas, mientras que el Complejo de Desembocadura y la parte externa de la Bahía, están estrechamente confinadas por afloramientos rocosos. Este trabajo explica la distribución dinámica y sedimentaria de un estuario singular y altamente confinado, detallando los controles fluviales-mareales en la variación de las mezclas de agua (QF/QT). Este estuario es en gran parte del tipo de cuña salina y la dinámica fue caracterizada por las medidas de corrientes (velocidad y dirección) realizadas en la columna de agua durante un ciclo mareal en marea viva; este proceso consiste en la propagación de las ondas de marea y su disipación de aguas arriba hiposincrónicamente y la mezcla de aguas dulces y salinas.
La morfología, dinámica y las distribuciones sedimentarias, se han integrado para desarrollar un modelo conceptual que demuestre la circulación dentro del estuario. La geometría sinuosa del valle estuarino y la detección del efecto de Coriolis, juegan un rol fundamental para determinar la distribución morfologica y sedimentaria. Consecuentemente, este estudio proporciona un visión adecuada de este tipo de estuarios mesomareales confinados, tan comunes en las costas atlánticas orientales.
Descargas
Descarga artículo
- PDF (English)
- Sin título (English)
- Sin título (English)
- Sin título (English)
- Sin título (English)
- Sin título (English)
- Sin título (English)
- Sin título (English)
- Sin título (English)
- Sin título (English)
- Sin título (English)
- Sin título (English)
- Sin título (English)
- Sin título (English)
- Sin título (English)
- Sin título (English)
- Sin título (English)
- Sin título (English)
- Sin título (English)
- Sin título (English)
- Sin título (English)
- Sin título (English)
- Sin título (English)
- Sin título (English)
- Sin título (English)
- Sin título (English)
- Sin título (English)
- Sin título (English)
- Sin título (English)
- Sin título (English)
- Sin título (English)
- Sin título (English)
- Sin título (English)
- Sin título (English)
- Sin título (English)
- Sin título (English)
- Sin título (English)
- Sin título (English)
- Sin título (English)
- Sin título (English)
- Sin título (English)
- Sin título (English)
- Sin título (English)
- Sin título (English)
- Sin título (English)
- Sin título (English)
- Sin título (English)





